Внешняя цепь, нагрузка или приёмник электрической энергии - часть электрической цепи, которая подключена к зажимам источника. В нагрузке энергия электрического поля преобразуется в другие виды энергии (тепловую, звуковую, механическую и др.). Приёмники энергии являются пассивными элементами.
Пассивные элементы – это сопротивление, ёмкость, индуктивность.
В теории электрических цепей рассматриваются пассивные элементы: сопротивление – это идеальный элемент цепи, характеризующий потери энергии на нагрев, механическую работу или излучение электромагнитной энергии.

Единицы измерения сопротивления – Ом 
проводимость – величина, обратная сопротивлению.

Единицы измерения проводимости – Сименс 
Мощность, выделяемая на сопротивлении, всегда положительна. Мгновенная мощность равна: 

Единицы измерения мощности – Ватт 
Сопротивления делятся на: линейные и нелинейные.
Линейное сопротивление – сопротивление, которое не зависит от величины, направления тока и величины напряжения. Оно имеет прямую пропорциональную зависимость между напряжением и током, выражающееся законом Ома.
|
|
|

Рисунок 2.2 Условное обозначение сопротивления
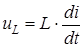
Индуктивность – идеализированный элемент электрической цепи, способный накапливать энергию магнитного поля, причем накопление энергии электрического поля и преобразование её в другие виды энергии в нём не происходит. Связь между током и напряжением на зажимах индуктивности определяется из закона электромагнитной индукции: при изменении магнитного потока, пронизывающего витки катушки индуктивности, на её зажимах образуется ЭДС прямо пропорциональная скорости изменения потокосцепления и направленная таким образом, чтобы вызываемый ток препятствовал изменению магнитного потока.
Для катушки, состоящей из
витков, справедливо равенство:
; 
где
– потокосцепление, т. е. суммарный магнитный поток, который сцеплен с
витками.
– магнитный поток одного витка.
Единица измерения магнитного потока и потокосцепления – Вебер (Вб).
Коэффициент пропорциональности между
и
называется индуктивностью, и, обозначается
. Единицы измерения индуктивности – Генри
. Из формулы
получим выражение для напряжения на индуктивном элементе:


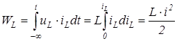
Энергия, которая накапливается в индуктивном элементе, вычисляется по формуле:

Для постоянного тока
, поэтому напряжение
, т. е. индуктивность эквивалентна короткому замыканию. Физический аналог индуктивности – катушка индуктивности, эквивалентная схема которой изображена на рисунке 2.3.
Катушка индуктивности – устройство, основным свойством которого является индуктивность (кроме индуктивности
, обладает сопротивлением потерь
).
|
|
|

Рисунок 2.3 Условное графическое обозначение катушки индуктивности
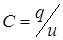
Ёмкость – идеализированный элемент электрической цепи, способный запасать энергию электрического поля. При этом накоплении энергии электрического поля преобразование электрической энергии в тепловую в нем не происходит. Свойства емкостного элемента обусловлены возможностью накопления в нем электрического заряда
, пропорционального напряжению
на элементе:

Коэффициент пропорциональности
называется емкостью, измеряется в Фарадах
.
Из формулы
найдем связь между током и напряжением для линейной емкости
:


Энергия, которая накапливается в линейной емкости, вычисляется по формуле:

В отличие от сопротивления идеальные реактивные элементы не рассеивают, а накапливают электрическую энергию и могут возвращать ее в цепь или источник. Мощность реактивных элементов
,
называется мгновенной реактивной мощностью и измеряется в вольт – амперах реактивных (Вар).
Для постоянного напряжения
ток
, т. е. емкость эквивалентна разрыву цепи (холостому ходу). Физический аналог емкости – конденсатор. Конденсатор - устройство, основным свойством которого является электрическая емкость; кроме емкости он обладает сопротивлением утечки 

Рисунок 2.4 Условное графическое изображение конденсатора






