Таблица 5.1
Задача о перевозках.
ТРАНСПОРТНАЯ ЗАДАЧА.
Симплекс-методом можно решить любую ЗЛП. Но есть такие ЗЛП, которые можно решить более простыми методами. К таким задачам относится транспортная задача. Примером транспортной задачи является задача о перевозках, задача о назначениях, задача развития и размещения одно- и многопродуктовых отраслей.
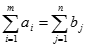
Имеется m пунктов отправления А1, А2,..., Аm, в которых сосредоточен некоторый груз в количествах а1,а2,...,аm и n пунктов назначения В1, В2,..., Вn, в которые требуется завезти этот груз в количествах b1,b2,...,bn, причем
. Известны стоимости cij перевозки единицы
груза из пунктов Аi в пункты Вj (
;
). Предполагается, что
а) товар является однородным и делимым, т.е. потребителю безразличен источник получаемого товара, а перевозки могут осуществляться партиями любого размера;
б) стоимость перевозки груза из одного пункта в другой пропорциональна количеству перевозимого груза.
Требуется составить такой план перевозок из пунктов Аi в пункты Вj, при котором затраты на перевозки были бы наименьшими.
Исходные данные задачи обычно представляются в виде транспортной таблицы (табл. 5.1).
| Пн По | В1 | В2 | ... | В3 | Запасы |
| А1 | С11 | С12 | ... | С1n | а1 |
| А2 | С21 | С22 | ... | С2n | а2 |
| ... | ... | ... | ... | ... | ... |
| Аm | Сm1 | Сm2 | ... | Сmn | аm |
| Потребности | в1 | в2 | ... | вn |
Стоимости cij проставляются в правых верхних углах соответствующих клеток.
Составим математическую модель задачи. Пусть xij – количество груза, перевозимого из пункта Аi в пункт Вj. Целевая функция задачи (общая стоимость перевозок) записывается следующим образом:

Систему ограничений записываем, руководствуясь тем, что:
а) запасы пунктов отправления должны быть исчерпаны;
б) потребности пунктов назначения должны быть удовлетворены;
в) перевозки могут быть только неотрицательными.
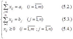
Таким образом, ограничения задачи имеют вид:

Мы видим, что задача о перевозках является ЗЛП.
Транспортной задачей называется ЗЛП следующего вида:


Отметим следующую особенность транспортной задачи как ЗЛП специального вида: система уравнений разбита на две группы (5.2) и (5.3) так, что каждая переменная входит ровно в одно уравнение группы с коэффициентом 1.
Уравнения (5.2) называются горизонтальными, уравнения (5.3) -вертикальными.
Любой набор значений переменных xij называется планом перевозок. План перевозок называется допустимым, оптимальным или опорным, если он является допустимым, оптимальным или опорным планом ЗЛП (5.1 - 5.4).
Транспортная задача, как и любая задача линейного программирования, может быть решена симплекс-методом. Однако
благодаря указанной выше особенности транспортной задачи, для неё
существуют более простые методы решения, один из которых – метод
потенциалов - мы изучим.