Фонд времени, его структура и показатели его использования влияют на организацию производственного процесса и производительность труда. Статистика рабочего времени непосредственно связана со статистикой заработной платы и статистикой социального страхования. Информация о рабочем времени необходима для анализа использования рабочей силы, изучения условий труда, разработки и заключения коллективных трудовых соглашений.
Рабочее время лиц, работающих по найму, регулируется трудовым законодательством, в соответствии с которым продолжительность нормальной рабочей недели составляет 40 ч, а для несовершеннолетних и лиц, работающих в тяжелых условиях, — 36 ч в неделю. Для некоторых категорий работников, занятых на особо тяжелых работах, устанавливается менее продолжительная рабочая неделя.
При учете рабочего времени основными единицами являются человеко-час и человеко-день. На практике применяются и более крупные единицы времени, такие, как человеко-месяц и человеко-год, но они эквивалентны показателям среднесписочного числа работников за соответствующие периоды.
|
|
|
Отработанным человеко-часом является 1 час работы работника на своем рабочем месте. Отработанным человеко-днем считается явка работника на работу и тот факт, что он приступил к работе независимо от продолжительности рабочего времени.
В статистике учитывается несколько фондов времени.
Календарный фонд времени рассчитывается как в человеко-днях, так и в человеко-часах. При определении календарного фонда времени в человеко-днях он равен сумме списочной численности работников предприятия или организации за все календарные дни периода (месяца или года), а при определении в человеко-часах — фонд в человеко-днях следует умножить на среднюю нормальную продолжительность рабочего дня, которая определяется по формуле средней арифметической взвешенной исходя из нормальной продолжительности рабочего дня, установленной для каждой категории персонала.
Календарный фонд времени представляет собой так называемое располагаемое время, которое, естественно, не может быть использовано в производственной деятельности. Календарный фонд состоит из человеко-дней явок на работу и неявок на работу по всем причинам. Исходя из этого календарный фонд (но только в человеко-днях) может быть определен как сумма человеко-дней явок и неявок по всем причинам. Календарный фонд используется для определения среднесписочной численности работников.
Календарный фонд времени включает время, приходящееся на установленные по закону ежегодные очередные отпуска работников, а также выходные и праздничные дни.
|
|
|
Если из календарного фонда вычесть человеко-дни, приходящиеся на выходные и праздники, то можно определить табельный фонд времени.
Если в свою очередь из табельного фонда вычесть человеко-дни, приходящиеся на очередные отпуска, то получим максимально возможный фонд рабочего времени. Максимально возможный фонд рабочего времени представляет собой рабочее время, которым может располагать предприятие или организация при стопроцентной явке работников, т. е. это время, теоретически предназначенное для работы.
Время, теоретически предназначенное для работы, состоит из фактически отработанного рабочего времени в течение нормального периода работы (урочное время) и рабочего времени, не использованного в течение периода.
Статистика реально отработанного времени должна включать:
а) часы, фактически отработанные в течение нормального периода работы;
б) время, отработанное сверх нормального периода работы и обычно оплачиваемое поставкам, превышающим нормальные ставки (сверхурочные часы работы);
в) время, затраченное на рабочем месте на такие виды работ, как подготовка рабочего места, ремонт, уход и подготовка оборудования, заполнение квитанций, карточек, накладных;
г) часы, проведенные на рабочем месте во время простоев по причинам временного отсутствия работы, остановки оборудования, несчастного случая, или время, проведенное на рабочем месте, в течение которого не было произведено никакой работы, но за которое была произведена оплата на основе контракта о найме;
д) время на короткие периоды отдыха на рабочем месте, включая перерыв на чай.
Следует отметить, что согласно международному стандарту фактически отработанное время включает:
во-первых, время простоев, когда работник находился на рабочем месте, но не работал по разнообразным техническим или технологическим причинам. Время простоев означает потерю рабочего времени в случае присутствия работника на рабочем месте.
во-вторых, сверхурочное время. Поскольку это время, которое отработано сверх времени, теоретически предназначенного для работы, то оно должно всегда учитываться отдельно. В этих условиях переработка сверх установленного законом либо трудовым соглашением рабочего времени в одном периоде компенсируется свободным временем в другом периоде или наоборот.
Рабочее время, не использованное в течение периода по уважительным причинам, состоит из неявок по причине болезни, учебных отпусков, выполнения государственных и общественных обязанностей и прочих неявок, предусмотренных законом.
К причинам не использования рабочего времени относятся административные отпуска и работа в режиме неполного рабочего дня или неполной рабочей недели по решению администрации, а также трудовые конфликты.
На основе данных баланса можно рассчитать показатели использования фондов времени.
Коэффициент использования максимально возможного фонда рабочего времени равен:

где Тф — фактически отработанные часы в урочное время
Тмвф - максимально возможный фонд рабочего времени. Данный показатель используется для анализа использования рабочего времени на предприятии и в отдельных его подразделениях, а также времени на предприятиях отрасли.
Коэффициент использования табельного фонда времени равен:

где Ткф — табельный фонд времени.
Табельный фонд времени целесообразно применять для сопоставления уровней использования рабочего времени при межотраслевых сопоставлениях. Использование для этих целей коэффициента Кмвф нежелательно, поскольку продолжительность очередных отпусков для работников, занятых в различных отраслях, весьма резко отличается.
Коэффициент использования календарного фонда равен:

где Ткф— календарный фонд времени.
|
|
|
Этот коэффициент используется как для анализа и сопоставления степени использования рабочего времени на уровне предприятий, отраслей и экономики в целом, так и при международных сопоставлениях использования рабочего времени.
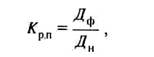
Для оценки использования рабочего времени рассчитывается коэффициент использования рабочего периода, который равен:

где Дф - срднее число дней, отработанных одним работником
за период;
Дн — число дней, которые должен был отработать один
работник за период по режиму работы предприятия.
Среднее число дней, отработанных одним работником, определяется как отношение общего числа отработанных человеко-дней к среднесписочной численности работников.
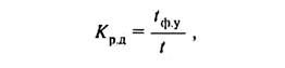
Для характеристики использования рабочего дня рассчитывается коэффициент использования рабочего дня, который равен соотношению между фактической продолжительностью рабочего дня и средней установленной продолжительностью рабочего дня. При этом следует иметь в виду, что по данным учета отработанного времени можно получить две характеристики средней фактической продолжительности рабочего дня. Средняя фактическая продолжительность рабочего дня определяется как соотношение между отработанными человеко-часами и отработанными человеко-днями, а средняя фактическая урочная продолжительность рабочего дня — как соотношение между фактически отработанными человеко-днями в урочное время и фактически отработанными человеко-днями.
При анализе степени использования рабочего дня применяется именно фактическая урочная продолжительность рабочего дня:

где К рд — коэффициент использования рабочего дня;
tфу — средняя фактическая урочная продолжительность
рабочего дня;
tн — средняя установленная продолжительность рабочего дня. Используя коэффициенты использования рабочего периода и рабочего дня, можно рассчитать интегральный показатель использования рабочего времени:

С помощью интегрального коэффициента определяется удельный вес общих потерь рабочего времени, часть из которых являются целодневными, а часть — внутрисменными.
|
|
|
Средняя продолжительность рабочей недели может быть рассчитана как отношение количества отработанных человеко-часов работниками за неделю к их среднесписочной численности за эту неделю
Коэффициент сменности, рассчитанный на определенную дату, равен:

При исчислении коэффициента сменности за календарный период он равен:

Коэффициент использования сменного режима определяется как отношение коэффициента сменности к числу смен при режиме работы предприятия С:

В том случае, если в наиболее заполненную смену используются не все рабочие места, то рассчитывается коэффициент использования рабочих мест в наибольшую смену (Кирм). При расчете на определенную дату он определяется по формуле:

При расчете за календарный период он равен:

Интегральный показатель использования рабочих мест определяется как произведение коэффициента использования сменного режима на коэффициент использования рабочих мест в наибольшую смену:

Отсутствие достаточной информации об использовании рабочего времени не позволяет отслеживать и контролировать эти процессы.