Рассмотрим решение системы (3.2.1) m линейных уравнений с n переменными в общем виде.
Метод Гаусса – метод последовательного исключения переменных – заключается в том, что с помощью элементарных преобразований система уравнений приводится к равносильной системе ступенчатого (или треугольного) вида, из которой последовательно, начиная с последних (по номеру) переменных, находятся все остальные переменные.
Предположим, что в системе (3.2.1) коэффициент при переменной х1 в первом уравнении а11≠0 (если это не так, то перестановкой уравнений местами добьёмся того, чтобы а11≠0).
Шаг 1. Умножая первое уравнение на подходящие числа и прибавляя полученные уравнения соответственно ко второму, третьему,…, m-му уравнению системы (3.2.1), исключаем переменную х1 из всех последующих уравнений, начиная со второго. В результате получаем систему
a11х1 + а12х2 + … + а1nхn = b1
a22(1) x2 + … + a2n(1)xn = b2(1)
- - - - - - - - - (3.2.6)
ai2(1)x2 + … + ain(1)xn = bi(1)
- - - - - - - - - - -
am2(1)x2 + … + amn(1)xn = bm(1)
где буквой с верхним индексом «(1)» обозначены новые коэффициенты, полученные после шага 1.
|
|
|
Рассмотрим, как вычисляются новые коэффициенты. Например, требуется исключить переменную х1 из i-го уравнения (i =2, n). Выпишем 1-е и i-е уравнения системы (напомним, что а11≠0)
a11х1 + а12х2 + … + a1jxj + … + a1nxn = b1
- - - - - - - - - - - - - - -
aix1 + ai2x2 + … +aijxj + … + ainxn = bi
- - - - - - - - - - - - - - - -
Назовем 1-е уравнение разрешающим, а коэффициент а11 - разрешающим коэффициентом.
Умножим 1-е уравнение системы на такое «удобное» число λ, чтобы после этого, прибавив 1-е уравнение к i-му уравнению, переменная х1 в i-ом уравнении не содержалась. При этом само 1-е уравнение сохраняется в системе на своем месте.
Итак,
a11x1 + a12x2 + a13x3 + … + aijxj +… +ainxn = b1
- - - - - - - - - - - - - - - - - - - - - - - - - (3.2.7)
(λa11+ai1)x1 + (λa12+ai2)x2 +…+ (λa1j+aij)xj +…+ (λa1n+ain)xn = λb1+bi
- - - - - - - - - - - - - - - - - - - - - - - - -
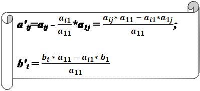
Из (3.2.7) следует, что новые коэффициенты при xj в i-ом уравнении имеют вид a'ij = λa1j+aij, j=1,n, чтобы x1 не входило в i-ое уравнение, число λ должно быть таким, чтобы λa11+ai1=0, откуда λ= -
. При таком значении λ
![]() |

Для пересчета коэффициентов и свободного члена по формулам (3.2.8) удобно использовать «правило прямоугольника»:


a11 a1j a11-разрешающий элемент
aij-разрешаемый (пересчитываемый) элемент
a1j, ai1-сопутствующие элементы
ai1 aij
Чтобы пересчитать коэффициент, следует от произведения разрешаемого и разрешающего элементов вычесть произведение сопутствующих элементов и полученную разность разделить на разрешающий элемент.
Шаг 2. Временно 1-е уравнение исключаем. Если а (1)22≠0 (всегда можно добиться), то второе уравнение выбираем в качестве разрешающего. Со 2-ым уравнением системы поступим так же, как и на 1-м шаге, исключаем из всех равнений, начиная с 3-го уравнения, переменную х2.
|
|
|
Продолжая процесс последовательного исключения переменных х3, х4, …, хr-1, после (r-1)-го шага получаем систему
a11х1 + а12х2 + … + a1rxr + a1,r+1xr+1 + … + a1nxn = b1 ,
a(1)22x2+…+a(1)2rxr + a(1)2,r+1xr+1 + … +a(1)2nxn = b(1)2,
…………………………………………………..... (3.2.9)
a(r-1)rrxr + a(r-1)r,r+1xr+1 +…+a(r-1)rnxn = b(r-1)r ,
……………………………………………
0=b(r-1)r+1 ,
……..
0=b(r-1)m
Число ноль в последних m – r уравнениях означает, что их левые частиимеют вид: 0*х1 + 0*х2 + … + 0*хn. Если хотя бы одно из чисел b(r-1)r+1,… b(r-1)m не равно нулю, то соответствующее равенство противоречиво и система (3.2.9) несовместна.
Таким образом, для любой совместной системы числа b(r-1)r+1,… b(r-1)m в системе равны нулю. В этом случае последние m – r уравнений в системе (3.2.9) являются тождествами и их можно не принимать во внимание при решение системы (3.2.1). Очевидно, что после отбрасывания «лишних» уравнений возможны два случая: а) число уравнений системы (3.2.1) равно числу переменных, т.е. r = n (в этом случае система (3.2.9) имеет треугольный вид); б) r < n (в этом случае система (3.2.9) имеет ступенчатый вид).
Переход системы (3.2.1) к равносильной ей системе (3.2.9) называется 9 прямым ходом метода Гаусса, а нахождение переменных из системы (3.2.9) – обратным ходом.
Преобразования Гаусса удобно проводить, осуществляя их не с самими уравнениями, а с матрицей их коэффициентов. Рассмотрим матрицу


a11 а12 … а1 n b1
a21 a22 … a2n b2
(A│B) = …………….. …, (3.2.10)
am1 am2 … amn bm
называемую расширенной матрицей системы (3.1), ибо в нее, кроме матрицы системы А, дополнительно включен столбец свободных членов матри-
цы В.
Системе (3.2.9) соответствует диагональная матрица. Значит, ее определитель не равен нулю. Это означает что ранг матрицы r=3. Система имеет единственное решение. Закончен прямой ход метода Гаусса.
Обратный ход. По последней матрице построим систему, эквивалентную данной, решение которой находится достаточно просто.
Пример. Решить систему методом Гаусса.
х1+2х2+ 3х3=6
2х1+3х2 -х3=4
3х1+х2 - 4х3=0
Выпишем расширенную матрицу системы


1 2 3 6
(А/В)= 2 3 -1 4
3 1 -4 0
Шаг 1. Исключим переменную х1 из 2-го и 3-го уравнений, выбрав 1-е уравнение (строку) разрешающим и коэффициент а11=1≠0 будем считать разрешаемым. Это означает, что после пересчета коэффициентов аij в новой (эквивалентной) матрице в 1-м столбце под разрешающим элементом будут стоять нули. Новая матрица будет иметь вид
![]() | ![]() | ![]() | ![]() | ![]() | |||||
1 2 3 6 1 2 3 6
0 -1 -7 -8 0 1 7 8
0 -5 -13 -18 0 5 13 18


2-й шаг. 1-я строка (уравнение) сохраняется, 2-ая строка разрешающая (сохраняется). В 3-й строке матрицы под разрешающим элементом будет стоять ноль, что означает, что в 3-м уравнении будет исключена переменная х3. Матрица перейдет в эквивалентную
1 2 3 6
0 1 7 8
0 0 22 22
Аналогично пересчитываем и свободный член.
На этом закончен 1-й шаг. Начинаем обратный ход.
Замечание:систему можно (удобно) записывать, начиная с последнего уравнения.


22х3 = 22 х3 = 1
х2 + 7х3 = 8 х2 = 8 – 7х3 = 1
х1 + 2х2 + 3х3 = 6 х1 = 6 – 2х2 – 3х3
Решение системы: х1=х2=х3=1











