Общее устройство электродвигателя постоянного тока
Электрическое сопротивление тяговой сети.
К.П.Д. тяговой сети и системы электроснабжения.
К.П.Д. электрической тяги определяется перемножением К.П.Д. отдельных звеньев системы электроснабжения:
η тепл.эл.станции х η ЛЭП х η т.п. х η т.с. х η эл-ва = η эл.тяги
0,4 х 0,95 х 0,98 х 0,94 х 0,85 = 0,3 или 30 %
η ГЭС = 0,9, тогда η эл.тяги = 0,67 или 67 %
Электроподвижной состав потребляет примерно 5 % всей вырабатываемой в России электроэнергии.
Для системы постоянного тока: контактный провод и несущий трос – медные, усиливающие провода – алюминиевые. Алюминий в 1,7 раза обладает меньшей проводимостью и вводится медный эквивалент Sалюм / 1,7. Контактная сеть – двойной контактный провод 2 х 100 мм2 (2МФ – медный, фасонный), несущий трос 120 мм2 (М – 120), два усиливающих алюминиевых провода 2 х 185 (2А х 185).
S м = 2х100 + 120 + 2х185/1,7 = 540 мм 2
ρ меди = 18,8 Ом х мм 2/ м
Сопротивление 1 км контактной сети:
R к.е. = ρ / S м = 18,8 / 540 = 0,035 Ом.
Сопротивление 1км рельсов в Ом/км (двух рельсовых нитей одного пути) находятся на эмпирической формуле R рельс = 1/ G, где G – масса одного погонного метра рельса (указывается в типе рельса Р 50 → 50 кг / м).
R рельса Р65 =1/65 = 0,0154 Ом / км.
Для системы переменного тока сложнее: в земле под проводами создаются вихревые потоки, которые в контактной сети наводят Э.Д.С. взаимоиндукции и между проводами происходит взаимоиндукция. И учитывается уже эквивалентное сопротивление Z 0, влияет так же сопротивление рельс – земля, какой грунт, балласт, шпалы, сухой или промерзший грунт.
Имеются специальные таблицы для однопутных или двухпутных участков, например:
для однопутного участка: М 120+ МØ х100 и Р 65→ Z 0=0,423 Ом / км или ПБСМ 95+ М Øх100 и Р 65→ Z 0=0,531 Ом / км;
для двухпутного участка: ПБСМ 95+ М Øх100 и Р 65 если питание раздельное, второй путь отключен и Z 0 = 0,411 Ом / км, а при параллельном питании и оба пути включены, то Z 0 = 0,548 Ом / км.
При М 120+ МØ х100 и Р 65 соответственно Z0 = 0,359 Ом / км.
Несущий трос может и двойной ПБСМ 2х70.
Тяговые электродвигатели служат для получения вращающихся моментов, которые через зубчатые передачи передаются на колесные пары и в результате сцепления колес с рельсами образуется сила тяги.
В качестве тяговых электродвигателей на отечественном электроподвижном составе, в основном, применяются электродвигатели постоянного тока, которые легко берут с места под нагрузкой и имеют простой способ регулирования частоты вращения якоря.
Неподвижная часть двигателя называется остов, который служит для механического соединения всех деталей двигателя и выполняет роль магнитопровода (по нему замыкается магнитный поток). К остову крепятся главные полюса, которые служат для создания основного магнитного потока. Главные полюс состоит из сердечника и катушки. Сердечник шихтованный, набирается из штампованных листов электртротехнической стали. Катушки всех полюсов соединяются последовательно и образуют обмотку возбуждения.
Подвижная вращающаяся часть электродвигателя называется якорем. Якорь имеет шихтованный сердечник из электротехнической стали, в пазы которого укладывается обмотка якоря. Все витки обмотки якоря соединяются последовательно. Выводы от проводников обмотки якоря впаиваются в петушки коллекторных пластин.
Коллектор состоит из отдельных изолированных друг от друга коллекторных пластин и обеспечивает изменения направления тока в проводниках обмотки якоря при переходе их через геометрическую нейтраль (линию, перпендикулярную оси полюсов) для того, чтобы выталкивающая сила, действующая на проводники обмотки якоря, всегда была направлена в одну сторону (для того, чтобы якорь вращался).
Концы вала якоря расположены в подшипниках щитов, которые крепятся к остову.
Полярность главных полюсов чередуется. Для изменения полярности полюсов необходимо изменить направление тока в обмотке возбуждения.
Принцип работы двигателя постоянного тока основан на выталкивании проводника с током из магнитного поля.
Если по проводнику пропускать электрический ток, то вокруг проводника образуется круговое магнитное поле, направление которого определяется по правилу буравчика. Если этот проводник поместить в магнитное поле полюсов, то в результате взаимодействия магнитного поля проводника с током с магнитным полем полюсов с одной стороны от проводника магнитное поле усиливается, а с другой – ослабевает. Магнитное поле обладает свойством упругости. На проводник будет действовать выталкивающая электромагнитная сила, стремящаяся вытолкнуть проводник с током из магнитного поля полюсов. Направление выталкивающей силы при этом определяется по правилу левой руки, а ее величина по закону Ампера: F = B x I x l, где В – электромагнитная индукция полюсов, I – величина тока, проходящего по проводнику, l – длина проводника.

Если в магнитное поле полюсов поместить виток с током, то он повернется под действием пары сил до горизонтального положения в данном случае. А чтобы получить вращение, необходимо взять несколько витков.
Часть обмотки якоря между соседними по ходу обмотки якоря коллекторными пластинами называется секцией обмотки якоря. Секции обмотки якоря выполняются, как правило, одновитковыми. Чтобы якорь вращался, активные стороны каждого витка располагаются под полюсами разной полярности.
Обмотка якоря может быть по типу: простая петлевая, простая волновая, сложная петлевая, сложная волновая, смешанная.
12. Параметры двигателя постоянного тока:
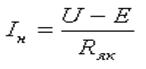
1. Ток нагрузки (ток якоря):
После подачи напряжения на обмотки двигателя якорь начинает вращаться. Проводники обмотки якоря будут пересекать магнитное поле полюсов. В проводниках будет наводиться Э.Д.С., направленная против тока, а значит и против приложенного напряжения. Эта Э.Д.С. получила название противо Э.Д.С. Поэтому,пользуясь законом Ома:

Ток нагрузки прямопропорционален приложенному напряжению за минусом противо Э.Д.С. и обратнопропорционален сопротивлению обмотки якоря.
Противо Э.Д.С. – это Э.Д.С., которая индуктируется в проводниках обмотки якоря работающего двигателя постоянного тока; направлена против тока, а значит и против приложенного напряжения.
2. Противо Э.Д.С.:
E = B x l x V - закон Фарадея
B = φ / S; S одного полюса = π x D як x l як / 2 p, где 2р – число полюсов двигателя.
V = D я х ω / 2; ω = 2π х n / 60;
N – число активных проводников обмотки якоря (в одном витке обмотки якоря два активных проводника).
N /2 - число активных проводников в одной параллельной ветви.
2 а – число параллельных ветвей обмотки якоря.
и после сокращений 

где
- конструктивный коэффициент, постоянный для данного типа электрической машины.
Противо Э.Д.С. прямопропорциональна магнитному потоку полюсов, частоте вращения якоря и зависит от конструкции электрической машины.
3. Частота вращения якоря:
|
Частота вращения якоря прямопропорциональна приложенному напряжению за минусом падения напряжения в обмотке якоря (для двигателя с параллельным возбужденим) или в обмотках двигателя (для двигателя с последовательным возбуждением), обратно пропорциональна магнитному потоку полюсов и зависит от конструкции машины.
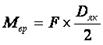
4. Вращающий момент:





;;;








