При косвенных измерениях искомое значение величины А находят расчетом на основе прямых измерений величин а& связанных с измеряемой величиной известной зависимостью:
А = / (at, a2,... ai,... ат) (24)
Результатом косвенного измерения является оценка величины А, которую находят подстановкой в формулу (1.24) оценок аргументов а i. Поскольку каждый из аргументов а i измеряется с некоторой погрешностью, то задача оценивания погрешности результата сводится к суммированию погрешностей измерения аргументов. Вклад отдельных погрешностей измерения аргументов в погрешность результата зависит от вида функции (24).
С точки зрения оценки погрешностей косвенные измерения делят на линейные и нелинейные. При линейных косвенных измерениях уравнение измерений имеет вид:

где b i - — постоянные коэффициенты при аргументах a i -. Любые -другие виды функциональной зависимости (24) относят к нелинейным косвенным измерениям.
Погрешности измерения аргументов могут быть заданы либо своими границами Да,-, либо доверительными границами Dа i - (Рдi) с доверительными вероятностями Рд i.
|
|
|
Простейшая оценка погрешности результата DА получается суммированием предельных погрешностей, т. е. подстановкой границ D а 1, D а 2,... Dаm в выражение:

Такая оценка завышена, так как предполагает, что погрешности аргументов одновременно максимальны по модулю и имеют один знак. Более корректно статистическое оценивание:
(25)
Если погрешности измерения аргументов заданы доверительными границами с одинаковыми доверительными вероятностями Рд, то при нормальном распределении этих погрешностей доверительные границы результата находят по формуле:
(26)
Нелинейные косвенные измерения характерны тем, что результаты измерений аргументов подвергаются функциональным преобразованиям.
Поэтому при нелинейных косвенных измерениях отказываются от интервальных оценок погрешности результата, ограничиваясь приближенной оценкой ее границ, В основе приближенного оценивания погрешности нелинейных косвенных измерений лежит линеаризация функции (24), и дальнейшая обработка проводится как при линейных косвенных измерениях.
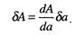
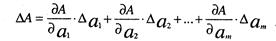
Из выражения для полного дифференциала функции А, заменяя дифференциалы на погрешности, получаем:
(27)
Для случая равномерного распределения погрешностей аргументов при числе слагаемых т < 5 границы погрешностей определяют по формуле (25). Если погрешности аргументов заданы их доверительными границами, оценку погрешности результата измерения выполняют по (26). При этом роль коэффициентов b1, b2, …, bm выполняют частные производные: bt = д А/ д а,.
Для наиболее часто встречающихся функциональных зависимостей формула (27) дает простые правила оценивания абсолютной DА или относительной бА погрешностей косвенного измерения:
|
|
|
1. Погрешности в суммах и разностях (А = а1 ± a2)', суммируются абсолютные погрешности DА = Dа1 + Dа2.
2. Погрешности в произведениях и частных (А = a1х a 2 или А = a1 / a2); суммируются относительные погрешности, dA = da1 + dа2, где dа i = Dа i / а i.
3. Измеряемая величина умножается на точное число (А = В х а); относительная погрешность — dА = \В\xdа
4. Измеряемая величина возводится в степень (А = ап). Относительная погрешность dА = n х dа.
5. Погрешность в произвольной функции одной переменной (А = f(a)); относительная погрешность







