Общий вид степенного уравнения регрессии:
.
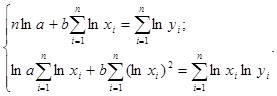
Логарифмирование данного уравнения приводит его к линейному виду:

Оценки параметров a и b уравнения могут быть найдены МНК. Система нормальных уравнений имеет вид:

Параметр b определяется из системы, а параметр a – потенцированием выражения lna.
Показателем тесноты нелинейной корреляции является индекс корреляции, вычисляемый по формуле:
,
где
- индивидуальные значения у по уравнению связи.
Индекс корреляции находится в границах: 0 < R < 1 и чемближе к единице, тем теснее связь рассматриваемых признаков, более надежно найденное уравнение регрессии.
Индекс детерминации R2 используется для проверки статистической значимости в целом уравнения нелинейной регрессии по
-критерию Фишера:
,
где
– число параметров при переменных х;
– число наблюдений.
Если
, то гипотеза Н0 о статистической не значимости уравнения регрессии отклоняется.
Для степенной функции
, гиперболы
, экспоненты
формула
-критерия имеет вид:
.
Для параболы второй степени
:
.






