Факторы изменения производительности труда.
Показатели наличия, движения и эффективности использования рабочей силы на предприятии.
1. Показатели оборота рабочей силы:
а). коэффициент оборота по приему за период:
К прием = N принят. / N среднеспис.
б). коэффициент оборота по выбытию за период:
К выб. = N выб. / N среднеспис.
в). коэффициент текучести:
К текуч. = N выб.прич. / N среднеспис.
причины: собственному желанию, прогулы, другие нарушения трудовой дисциплины.
г). коэффициент общего оборота за период:
К общ. = (N принят. – Nувол.)/ N среднеспис.
д). коэффициент постоянства кадров за период:
К пост. = N весь период / N среднеспис.
Производительность труда - характеризует результативность, плодотворность и эффективность конкретного вида труда. Определяется количеством продукции, производимой в единицу рабочего времени, в расчете на 1 работника.
Методы измерения:
| Натуральный | Стоимостной | Трудовой |
| Объем продукции измеряется: | ||
| тоннах, кг, шт., метрах | руб. | нормо-часах |
| Применяется | ||
| для одного вида продукции | для разнородной продукции(работ, услуг) | продукция, не измеряемая количественно и стоимостно. |
Выработка (среднечасовая, среднедневная и т.п.)- количество продукции, произведенной в единицу рабочего времени.
|
|
|
Определяется:
Выработка среднечасовая:

где: V пр.прод –объем произведенной продукции;
N – численность персонала;
Ф э – эффективный фонд рабочего времени(в часах).
Выработка среднедневная:

где: V пр.прод –объем произведенной продукции;
N – численность персонала;
Д – количество рабочих дней в периоде.
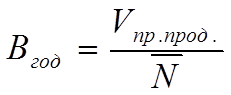
Выработка среднегодовая:

где N – среднесписочная численность.
Трудоемкость – обратный показатель выработки – измеряется в часах.
Бывает:
- технологическая(затраты труда осн. раб., сдельщиков и повременщиков);
-обслуживания (затраты труда вспомогательных рабочих)
- управления (затраты труда управленческого персонала)
- производительная- затраты труда всех рабочих (основны и вспомогательных).
- полная – затраты всех категорий персонала.






