1. Темп прироста (экономический потенциал) реализованной продукции. Модель является жестко детерминированной факторной моделью, устанавливающей зависимость между темпом роста экономического потенциала предприятия и основными определяющими его факторами.

q – темп прироста реализованной продукции (желаемый или прогнозируемый)
r – коэффициент реинвестирования прибыли
PR – реинвестированная в отчетном периоде прибыль
PN – чистая прибыль отчетного периода
p – коэффициент рентабельности продукции
s – выручка от реализации
RO - ресурсоотдача
A – имущество предприятия (актив баланса)
FD – коэффициент финансовой зависимости
E – собственный капитал предприятия
L - привлеченный капитал предприятия.
2. Сумма мест полученных в ходе ранжирования (графоаналитическая модель потенциала предприятия)

Рj – сумма мест полученных в ходе ранжирования
kч – коэффициент чувствительности
аij - данные (в виде таблицы)
i = 1, 2, 3,…n – номера показателей в строках
j = 1, 2, 3,…m – названия рассматриваемых предприятий.
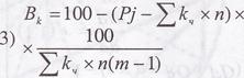
3. Длина вектора, создающего квадрат потенциала

Bk – длина вектора, где k = 1, 2, 3, 4
Рj – сумма мест полученных в ходе ранжирования
kч – коэффициент чувствительности
j = 1, 2, 3,…m – названия рассматриваемых предприятий.






