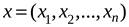
n -мерным пространством мы будем называть пространство точек
, каждая из которых задается n координатами:
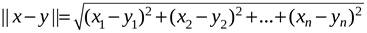
. Расстояние между точками
и
в таком пространстве определяется следующим образом:
. В частности, формула для расстояния между точками используется при сравнении объектов с идеалом по n признакам.
Линейные отображения.
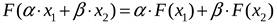
Линейным отображением
векторного пространства
в векторное пространство
называется такое отображение, что для любых двух векторов
и
из пространства
и любых двух вещественных чисел
и
справедливо:
.
Любое линейное отображение
-мерного пространства в
-мерное задается некоторой матрицей размера
и наоборот, любая матрица размера
задает линейное отображение
-мерного пространства в
-мерное.
Действительно, возьмем произвольную матрицу
размера
. Ее можно умножить на
-мерный вектор
, рассматриваемый в вида матрицы-столбца размером
. Результатом умножения будет матрица-столбец размером
, то есть,
-мерный вектор
. Имеем
, где
,
,
.
То, что отображение, задаваемое умножением вектора на матрицу, является линейным, следует из свойств сумм и произведений матриц.
|
|
|
В частности, линейное отображение
-мерного пространства на множество вещественных чисел (одномерное пространство) задается матрицей-строкой размера
.






