Посмотрим, как определяется работа по перемещению точечного заряда q в электростатическом поле, создаваемом зарядом Q. В соответствии с определением элементарной работы:

.
В последнем равенстве мы учли, что
(рис. 1.2). (На этом рисунке, для определённости, мы положили оба заряда положительными.)
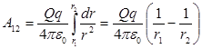
Тогда работа по перемещению заряда между начальным положением 1 и конечным положением 2 будет определяться как

. (1.6)
Из последнего соотношения видно, что работа не зависит от формы пути между начальным и конечным положениями заряда, а определяется только этими положениями, и, следовательно, работа по перемещению заряда по замкнутому контуру равна нулю. Эту же работу можно записать иначе, используя определение напряжённости электростатического поля
. (1.7)
Поскольку заряд не равен нулю, то его в последнем равенстве можно сократить
. (1.8)
Интеграл в левой части выражения (1.8) называется циркуляцией вектора напряжённости. Таким образом, получили, что циркуляция вектора напряжённости электростатического поля по любому замкнутому контуру равна нулю.
|
|
|
Консервативными (или потенциальными) называются силы, работа которых не зависит от формы пути, а определяется начальным и конечным положениями. Для таких сил работа по замкнутому контуру тождественно равна нулю.
Известно, что для консервативных сил можно ввести понятие потенциальной энергии. Работу по перемещению заряда можно записать как убыль потенциальной энергии заряда в поле:
A12=U1 – U2. (1.9)
Учитывая, что потенциальная энергия определяется с точностью до постоянной, и сравнивая выражения (1.6) и (1.9), находим, что потенциальная энергия точечного заряда q в поле заряда Q определяется как
. (1.10)
Постоянная выбирается из условия, что при удалении зарядов на бесконечность их потенциальная энергия взаимодействия обращается в нуль. Тогда
. (1.11)






