Компания, собирающая и перерабатывающая алюминиевые банки и стеклянные бутылки в Нью-Йорке, имеет грузовые автомобили, привозящие эти материалы для переработки, которые ожидают разгрузки в среднем по 15 минут. Затраты водителя и автомобиля в очереди составляют $ 60 / ч. Новый автоматический разгрузчик может быть закуплен, чтобы процесс разгрузки выполнялся по правилу 12 автомобилей в час (т. е. 5 мин. на автомобиль). Грузовые автомобили появляются согласно распределению Пуассона со средней восемь автомобилей в час. Если использовать новый разгрузчик, его затраты на амортизацию составляют $ 3 на разгрузку. Фирма наняла на лето студента колледжа, который провел следующий анализ изменения затрат и выгод от покупки разгрузчика.
Существующие затраты ожидания на один рейс: (1/4 ч ожидания) ($ 60 / ч затрат) = $ 15 / рейс.
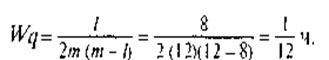
Новая система: l = 8 грузовиков / ч поступающих, т = 12 грузовиков / ч обслуживаемых.

Затраты ожидания на один рейс с новым разгрузчиком: (1 / 12 ч очереди) ($ 60 / ч затрат) = $ 5 / рейс.
|
|
|
Экономия с новым оборудованием: $ 15 (существующая система) – $ 5 (новая система) = $ 10 / рейс.
Затраты на амортизацию нового оборудования = $ 3 / рейс.
Чистая экономия = $ 7 / рейс.
Модель D. Модель с ограниченным источником. Когда имеется ограниченный источник потенциальных клиентов для центра обслуживания, нам необходима другая модель очередей. Эта модель будет использована, если, например, нужно ремонтировать оборудование, имея только пять машин; если вы ответственны за обслуживание в полете 10 самолетов или если вы работаете в отделении госпиталя, рассчитанном на 20 коек. Модель с ограниченным источником имеет дело с некоторым числом объектов, требующих внимания.
Содержание этой модели отличается от трех ранее описанных моделей очередей тем, что теперь существует связь между длиной очереди и правилом появления заявки.
Проиллюстрируем экстремальную ситуацию, когда предприятие имеет пять машин и все пять сломались и ожидают ремонта. В общем, чем длиннее очередь в модели ожидания с ограниченным источником, тем меньше прибытий клиентов или машин.
Заметим, что формулы для модели с ограниченным источником используют другие переменные по сравнению с моделями А, В и С. Для простоты, чтобы можно было использовать калькулятор, определяются переменные D и F. Причем D представляет вероятность того, что машина, нуждающаяся в ремонте, будет ожидать в очереди; F означает коэффициент эффективности времени ожидания. Заметим, что D и F необходимы для расчетов больше, чем другие конечные формулы модели.
|






