Парой сил называется система двух равных по модулю, параллельных и направленных в противоположенную стороны сил, действующих на абсолютно твердое тело.
Рис 3
Плоскость, проходящая через линии действия сил пары, называется плоскостью действия пары. Расстояние d между линиями действия сил называется плечом пары.
Действие пары сил на твердое тело сводится к вращательному эффекту, мерой которой является векторная величина m(или M), называется моментом пары сил.
Характеристики вектора пары сил
1) Модуль этого вектора равен произведению модуля силы пары на ее плечо:
M=Fd
2) Вектор m расположен на прямой, перпендикулярной плоскости действия пары;
Вектор m направлен вдоль указанной прямой так, чтобы из его острия вращениея, которое стремиться сообщить телу пара сил, было видно происходящим против хода часовой стрелки.
Вектор-момент пары m является вектором свободным.
Свойства пары сил:
1) пару сил можно переносить куда угодно в плоскости действия пары;
2) пару сил можно переносить из данной плоскости в любую плоскость параллельную данной;
|
|
|
3) у данной пары можно произвольно менять модули сил и длинну плеча, сохраняя неизменным ее момент.
— Две пары сил, имеющие одинаковые моменты, эквивалентны друг другу (теорема об эквивалентности пар).
— Система пар, действующая на абсолютно твердое тело, эквивалентна одной паре с моментом, равным геометрической сумме моментов сложенных пар.
(теорема о сложении пар)
Теорема о параллельном переносе силы.
— Силу, не изменяя оказываемого ею действия на твердое тело, можно переносить параллельно самой себе в любую точку твердого тела, добавляя при этом пару сил с моментом, равным моменту заданной силы относительно ее новой точки приложения.

Рис 4
Полученную систему сил можно рассматривать как систему, состоящую из силы(F’) и пары сил (F’, F’’).
Рис 5
систему силы Fa силой Fb’ и парой сил (F’, F’’) называют привидением силы F к заданному центру (в данном случае к центру B).
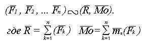
Теорема о привидении системы сил к одному центру.
— Действие любой произвольной системы сил на твердое тело эквивалентно действию в произвольной точке О этого тела силы R, равной главному вектору системы сил,
и пары сил, момент которой Mo равен главному вектору системы сил, и пары сил, момент которой Mo равен главному моменту системы сил относительно центра О.

Величина R, равная геометрической сумме всех сил, называется главным вектором системы сил;
Величина Mo, равная геометрической сумме моментов всех сил относительно этого центра.
Рис 6
Равновесие тела под действием системы сил.
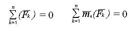
Для равновесия произвольной пространственной системы сил, приложенных к твердому телу, необходимо и достаточно, чтобы ее главный вектор и главный момент относительно любого центра (точки) О был равны нулю:
|
|
|
R=0; Mo=0.
Эти равенства являются векторными условиями для любой системы сил.
![]() |
Проектируя эти векторные равенства на координатные оси, получили шестьаналитических условий:
∑Fkx = 0; ∑Fky = 0; ∑Fkz = 0;
∑Mx(Fk) = 0; ∑My(Fk) = 0; ∑Mz(Fk) = 0;
Основная форма условия равновесия при действии на тело поской системы сил.
∑Fkx = 0; ∑Fky = 0; ∑Mо(Fk) = 0.
Вторая форма условий равновесия:
∑Ma(Fk) = 0; ∑Mb(Fk) = 0; ∑Fkx = 0.
Точки A и B расположены в плоскости действия сил; ось Х не перпендикулярна прямой АВ
Рис 7
Третья форма условий равновесия:
∑Ma(Fk) = 0; ∑Mb(Fk) = 0; ∑Mz(Fk) = 0;
точки А, В и С расположены в плоскости действия сил и не лежат на одной прямой.
Рис 8







