Качество технологического процесса определяется в два этапа:
1. Оценка уровня технологического процесса.
2. Аттестация технологического процесса.
Задачи, решаемые на этапах оценки уровня и аттестации технологического процесса:
| Этапы | Задачи | Исполнитель |
| 1. Оценка уровня техноло гическо го процесса | 1. Выбор технологического процесса, подлежащего аттестации | Головная организация по аттестации совместно с предприятием, эксплуатирующем технологический процесс |
| 2. Группирование изделий, деталей и сборочных единиц по конструкторско-технологическим признакам | 2. Предприятие, эксплуатирующем технологический процесс | |
| 3. Идентификация предприятия по классификатору предприятий и цехов | 3. Предприятие, эксплуатирующем технологический процесс | |
| 4. Уточнение перечня прогрессивного технологического оборудования и прогрессивных технологических процессов | 4. Предприятие, эксплуатирующем технологический процесс | |
| 5. Установлен ие нормативных значений показателей эффективности технологических процессов | 5. Предприятие, эксплуатирующем технологический процесс | |
| 6. Расчет уровня технологического процесса (количественная оценка уровня качества) | 6. Предприятие, эксплуатирующем технологический процесс | |
| 7. Проведение анализа с целью совершенствования показателя уровня технологического процесса | 7. Предприятие, эксплуатирующем технологический процесс | |
| 8. Разработка мероприятий по повышению уровня технологического процесса | 8. Предприятие, эксплуатирующем технологический процесс | |
| 2. Аттестация техпроц ессов | 1. Подготовка документации | Предприятие, эксплуатирующее технологический процесс |
| 2. Присвоение категорий технологическому процессу | Аттестационная комиссия |
Для оценки уровня техпроцессов используются 4 показателя:
2) Прогрессивность технологического оборудования.
3) Уровень механизации и автоматизации техпроцесса
(процент охвата рабочих механизированным и автоматизированным
трудом).
4) Эффективность использования материалов и
технологического оборудования.
Уровень технологического процесса определяется следующим образом:

Кi - коэффициенты весомости отношений показателей качества техпроцесса;
Пi - Фактический показатель, характеризующий одно из
свойств (качество) технологического процесса;
ПHi - нормативное значение соответствующего показателя.
Аттестация технологических процессов осуществляется в соответствии с методическими указаниями ЕСТПП РД-50-85, носящими рекомендательный характер, и содержащими типовые методики, регламентирующие процесс оценки уровня и аттестации техпроцесса. Но при совокупной оценке эффективности производства следует учитывать не только техническую эффективность технологических процессов, образующих конкретное производство, но и экономическую эффективность. При этом всевозможные государственные стандарты, в частности ГОСТ 14.303.73 предполагает использование различного рода методик на всех стадиях разработки (проектирования) техпроцессов, в том числе и методик оценки экономической эффективности полученной в результате различных вариантов технологических процессов. Выбор методики осуществляется на её простоте и адекватности. Основная информация, необходимая для технико-экономической оценки эффективности технологических процессов содержит сведения о трудоёмкости и себестоимости различных технологических операций и переходов. Подобные сведения могут быть получены в соответствующих нормативных документах или определены на конкретном предприятии и как правило, реализуемые как базовые при проектировании новых технологических процессов.
Основным условием получения результатов оценки уровня технологического процесса является подробное представление методики проведения расчета уровня техпроцесса.
Четыре основных показателя оценки уровня технологического процесса представлены в методических указаниях РД-50-532 и согласно этой методике, вычисляются следующим образом:
1. Показатель производительности труда:
Пп=Вчп/Чп; где
Вчп - объём выпуска нормативно чистой продукции в год; Чп - численность производственного персонала, участвующего в данном объёме продукции;
2. Показатель применения прогрессивного технологического
оборудования:
Поб=Тпрог/Т, где
Тпрог - трудоёмкость изготовления изделия РЭС на прогрессивном технологическом оборудовании;
Т - общая.трудоёмкость изготовления изделия РЭС.
3. Показатель охвата рабочих механизированным и
автоматизированным трудом:
Пма=Чма/Чп, где
Чма - число рабочих, занятых механизированным и автоматизированным трудом;
Чп - общая численность производственных рабочих.
4. Показатель использования материалов:
Ппм=М/Н, где
М - масса изделия РЭС без учёта комплектующих и ЭРЭ;
Н - норматив расхода материалов на изделие РЭС данного типа.
4-а. Показатель использования технологического оборудования:
Пноб=Поб/Пн, где
Поб - фактический показатель использования технологического оборудования;
Пн - норматив использования технологического оборудования данного типа (коэффициент загрузки СТО).
С учётом значений четырёх показателей, уровень ТП рассчитывается по следующей формуле:

где
нормативные значения показателей произво-
дительности труда, прогрессивности технологического оборудования, охвата механизированным и автоматизированным трудом, показатель использования материалов (технологического оборудования). Расчёт уровня ТП изготовления РЭС в условиях крупносерийного и массового производства отличается от единичного и мелкосерийного, и осуществляется с следующей последовательности:
1) Определяется уровень ТП изготовления деталей по
отдельным видам работ;
2) Определяется уровень ТП по каждому виду работ с учетом
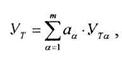
весовых коэффициентов каждого ТП внутри этого вида работ:

а - коэффициент весомости отдельных ТП, входящих в ТП вида работ, УТа - уровень, соответствующий уровню техпроцессов;
m - общее число таких техпроцессов;
|
3) Определяется уровень ТП производства всего изделия РЭС, как совокупность всех ТП, составляющих производство данного изделия РЭС:
где
βα - весовые коэффициенты, входящие в состав технологических операций, составляющих технологический процесс.
Расчет уровня ТП в условиях среднесерийного, мелкосерийного и единичного производств осуществляется в следующей последовательности:
1) Определяется уровень техпроцесса вида производства (*);
2) Определяется уровень техпроцесса всего изделия РЭС.
По результатам количественной оценки уровня качества техпроцесса осуществляется анализ факторов (отличительных признаков), влияющих на количественные показатели того или иного качества техпроцесса, устанавливаются (исследуются) причины низких значений отдельных показателей и разрабатываются мероприятия на инженерном или научно-техническом уровне по усовершенствованию технологии производства РЭС.