Содержание формы 4
1. Наименование мероприятия.
2. Цель мероприятия.
3.Место проведения мероприятия (цех, производственный
участок, рабочее место).
4. Исполнитель мероприятия.
5. Срок исполнения.
6. Совокупные затраты, необходимые на выполнение
мероприятия.
7. Годовой экономический эффект, ожидаемый от реализации
мероприятия.
8. Ожидаемые значения показателя уровня качества
технологического процесса.
Комплект документов, необходимых для проведения отраслевой аттестации следующий:
1.Акт отраслевой аттестационной комиссии (в некоторых
случаях - акт государственной аттестационной комиссии).
2.Карта уровня технологических процессов производства РЭС
в целом.
3.Карта уровня технологических процессов видов
производств.
4.Мероприятия по повышению уровня технологических
процессов видов производств и производства РЭС в целом.
Состав и порядок работы аттестационной комиссии следующий. После проведения аттестации и оценки уровня технологических процессов видов производств и производства РЭС в целом осуществляется регистрация и учет актов отраслевых и государственных аттестационных комиссий в отраслевых и государственных регистрационных органах.
|
|
|
В состав аттестационной комиссии входят:
1. Представители отраслевых министерств или
государственных комитетов;
2. Представители головных (базовых) организаций;
3. Представители научно-исследовательских институтов и
проектных организаций;
4. Представители независимых экспертных организаций.
На основе результатов аттестации технологических процессов производства РЭС в целом создается банк данных технологических процессов видов производств в целях:
1. Систематизации разнообразных технологических процессов,
функционирующих в различных отраслях национальной
промышленности.
2. С целью анализа и оценки эффективности принципиально
новых технологических процессов с потребительских позиций.
3. С целью обеспечения предприятий информацией о наличии
различных эффективных технологических процессов видов
производств.
4. С целью разработки научно обоснованных рекомендаций по
внедрению принципиально новых технологических процессов в
экономику страны или на конкретные предприятия.
5. С целью научно обоснованного прогнозирования, создания
новых направлений техники и технологий.
Информация о новых технологических процессах вносится в специальные анкеты, формы которых 2-7 приведены в вышеназванных методических рекомендациях, а по традиционным технологическим процессам - в анкету № 1.
Под новыми технологическими процессами понимается принципиальное изменение структуры или содержания технологического процесса или средств технологического оснащения и материалов, используемых в технологическом процессе на уровне инженерного или научно-технического решения с оформлением соответствующих документов по охране прав.
|
|
|
Наибольший интерес имеет содержание анкеты № 7 под названием «Показатели эффективности от внедрения технологических процессов», которая содержит, как минимум, следующие сведения:
1. Наименование технологического процесса.
2. Код технологического процесса по классификатору КТО.
3. Значение себестоимости технологического процесса.
4. Изменение наиболее значимых коэффициентов удельных затрат:
а) Коэффициент изменения труда;
б) Коэффициент изменения энергоемкости;
в) Коэффициент снижения фондоемкости;
г) Коэффициент снижения материалоемкости;
д) Коэффициент повышения надежности;
и т.д.
5. Повышение качества технологического процесса (наличие совокупного эффекта).
а) Наименование количественного показателя,
характеризующего эффект.
б) Изменение данного показателя в % (количественная
оценка эффективности) завода, выпускающего бытовые холодильники, пылесосы, телевизоры нескольких марок с электронными блоками управления и т.п.
Комплексные показатели качества продукции серийного и массового производства целесообразно применять для определения конкурентоспособности:
- при оценке качества продукции одного вида в одинаковых и
различных условиях эксплуатации;
- при обосновании выбора наилучшего варианта
разрабатываемой продукции с учетом различных условий ее
использования;
- при оценке качества разнородной продукции, выпускаемой
одним предприятием;
при оценке качества продукции, выпускаемой предприятиями, объединениями и отраслями;
- при оценке качества продукции, выпускаемой районом, областью, республикой;
- при анализе динамики качества продукции за несколько лет;
- при сравнении работ по повышению качества продукции;
- при отработке информации о качестве продукции в
автоматизированных системах управления.
Для каждого звена управления промышленностью различают следующие задачи по оценке уровня качества продукции:
- оценить уровень качества продукции одного вида в
одинаковых условиях использования;
- оценить уровень качества продукции одного вида в
различных условиях эксплуатации;
- оценить уровень качества совокупности видов продукции,
выпускаемой предприятием, объединением, отраслью и т.п. для
определения имиджа предприятия;
- оценить уровень качества совокупности видов продукции,
выпускаемой районом, областью, республикой и т.п. для
определения имиджа региона.
При решении задач по оценке уровня качества продукции необходимо соблюдать следующие общие правила:
а) для комплексной оценки следует использовать4
состоятельные комплексные показатели, наибольшие или
наименьшие, значения которых обоснованно соответствуют
наилучшим вариантам управляющих решений;
б) при оценке уровня качества продукции одного вида
комплексные показатели целесообразно строить так, чтобы
относительные изменения этих показателей были равны
относительным изменениям экономических затрат, минимально
необходимых для разработки, производства и эксплуатации продукции одного вида. Такие показатели являются основой ДЛ5 комплексной оценки уровня качества разнородной продукции;
в) средние взвешенные арифметические показатели можно применять при комплексной оценке уровня качества вместо средних взвешенных геометрических показателей для упрощения расчетов, когда относительные значения усредняемых показателей сравнительно мало отличаются друг от друга.
Методы расчета коэффициента (параметра) весомости
|
|
|
При комплексной оценке уровня качества продукции одного вида с помощью средних взвешенных показателей нужно определить параметры весомости усредняемых показателей так, чтобы они соответствовали изменениям приведенных минимально необходимых затрат на разработку, производство и эксплуатацию продукции при изменении ее соответствующих показателей качества.
При этом условии выбранные средние взвешенные показатели будут состоятельными и их наибольшие (или наименьшие) значения будут соответствовать наилучшим вариантам управляющих решений.
Параметры весомости зависят от выбора способа усреднения показателей (арифметический, геометрический и т.п.) При замене одного усредняемого показателя качества другим, функционально связанным с первым, значение соответствующего параметра также может измениться.
Методы определения параметров весомости основаны на применении имеющегося опыта улучшения качества продукции данного вида для приближенной оценки изменений затрат на создание и эксплуатацию продукции при изменении ее показателей качества.
Различают следующие методы определения параметров
весомости:
- метод стоимостных регрессионных зависимостей;
- метод предельных и номинальных значений;
- метод эквивалентных соотношений;
- экспертный метод.
Эти методы отличаются друг от друга исходной информацией и тем, как она используется для определения параметров весомости. Все методы при правильном их использовании должны приводить примерно к одинаковым результатам (в пределах точности имеющихся данных).
Метод стоимостных регрессионных зависимостей основан на построении приближенных зависимостей между затратами на создание и эксплуатацию продукции данного вида (или пропорциональными им показателями) и показателями качества продукции.
Этот метод целесообразно применять в случаях, когда имеющееся число вариантов продукции (т.е. образцов или проектов данного назначения, для которых известны значения показателей качества и затрат) достаточно велико и превосходит число выбранных показателей.
|
|
|
Вид зависимости целесообразно выбирать соответственно используемому комплексному показателю качества. Например, если для комплексной оценки уровня качества используется средний взвешенный геометрический показатель, то для построения регрессионной зависимости между затратами и показателями качества целесообразно выбирать следующее выражение;

где Scp и piCP - величины, полученные усреднением по всем вариантам продукции фактических затрат и соответствующих показателей качества;
mi - параметры аппроксимации, определяемые методом "наименьших квадратов".
В этом случае δi=mi, т.е. параметры весомости равны соответствующим параметрам регрессионной зависимости.
Пример оценки уровня качества с коэффициентами (параметрами) весомости рассчитанными методом стоимостных регрессионных зависимостей.
Необходимо оценить уровень качества десяти вольтметров и определить оптимальный вариант.
Дано:
| Вариант Вольтметра | Показатели качества вольтметров | ||
| Входное сопротивление, МОм | Входная емкость, пФ | Масса г. | |
| 70,7 | |||
| 66,9 | |||
| 67,9 | |||
| 66,3 | |||
| 67,8 | |||
| 68,1 | |||
| 68,2 | |||
| Среднее Значение |
Xll = lg(180/178) =0.0049 X21 = lg(67/68)= -0.0064
X12= lg(176/178) = - 0.0049 X22 = lg(70.7/68) - 0.0129
X13=lg(l76/178) =- 0.0049 X23 = lg(68/68) = 0.0001
X14=lg(181/178) =0.0073 X24 = lg(66.9/68) =-0.0071
X15= lg(177/178) = - 0.0024 X25 = lg(67.9/68) = - 0.0006
X16=lg(180/178) =0.0049 X26= lg(66.3/68) =-0.011
X17= lg(175/178) = - 0.0074 X27= lg(69/68) - 0.0066
X18=lg(176/178) =-0.0049 X18= lg(67.8/68) -0.0011
X19=lg(180/178) =0.0049 X29= lg(68.1/68) =0.0008
X110= lg(179/178) = 0.0025 X210= lg(68.2/68) = 0.0015
Yl = lg(830/871) = -0.0209 Y2=lg(1000/871) = 0.06 Y3 = lg(860/871) = - 0.0055 Y4=lg(830/871) = -0.0209 Y5=lg(860/871) = - 0.0055 Y6=lg(790/871) = - 0.0424 Y7 = lg(910/871) = 0.0199 Y8=lg(850/871) = - 0.0106 Y9=lg(890/871) = 0.0094
Y10=lg(890/871) = 0.0094
Регрессионная зависимость между показателями качества строится по формуле:

- 0.0209 = м 1*0.0049 + м2*(- 0.0064)
0.06 = м1*(- 0.0049) + м2*0.0129
- 0.0055 = м1*(- 0.0049) + м2*0.0001
- 0.0209 = м1*0.0073 + м2*(- 0.0071)
- 0.0055 = м1 *(- 0.0024) + м2*(- 0.0006)
- 0.0424 = м1 *0.0049 + м2*(- 0.011)
0.0199 = м1*(- 0.0074) + м2*0.0066
- 0.0106 - м1*(- 0.0049) + м2*0.0011
0.0094 - м1 *0.0049 + м2*0.0008
0.0094 = м1 *0.0025 + м2*0.0015
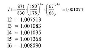
Коэффициенты (параметры) весомости рассчитываются методом наименьших квадратов: м1 = 1.2 м2 = 4.2
| В результате расчетов получены следующие значения показателя: |
Оптимальному варианту вольтметров должно соответствовать наибольшее значение показателя качества, определяемого по формуле:



Из полученных результатов видно, что наилучшим является шестой вариант вольтметра, для которого величина показателя качества наибольшая I6 = 1.008090.
Метод предельных и номинальных значений применяется в случаях, когда известны предельно допустимые значения показателей качества продукции данного вида, определяющие требования к годной продукции или принадлежность ее к данной категории качества. В этих случаях параметры весомости для различных типов средних взвешенных показателей могут вычисляться по формулам:
| Комплексные показатели | Параметры весомости |
| Средний взвешенный арифметический показатель | |
|
|
| Средний взвешенный геометрический показатель | |
|
|
| Средневзвешенный квадратический показатель | |
| * |
* Расчет параметра весомости 8i для средневзвешенного квадратического показателя не приводится, так как в настоящий момент он окончательно разработан.

Определение коэффициентов (параметров) весомости для расчета среднего взвешенного геометрического комплексного показателя:



Метод эквивалентных соотношений применяется в случаях, когда удается обосновать какому относительному изменению количества продукции
эквивалентно, с точки зрения общего эффекта от использования
продукции
по назначению, рассматриваемое относительное изменение данного
показателя качества

или насколько процентов можно, например, уменьшить число единиц продукции, чтобы обеспечить те же потребности при увеличении данного показателя качества на 1 процент.
В этих случаях параметры весомостей для средних взвешенных геометрических показателей качества находят по формуле

Наиболее важен случай, когда эквивалентны одинаковые относительные изменения количества продукции некоторым ее показателям качества. В этом случае параметры весомости для всех показателей качества, обладающих указанным свойством, можно принять равными единице.
Пример вычисления коэффициентов (параметров) весомости по методу эквивалентных соотношений.
Пусть Т - средний ресурс электроламп данного типа, Е - число, определяемое условием замены вышедших из строя ламп.
Увеличение Т на 1 % в данном случае позволит обеспечить те же потребности при числе ламп, меньшем на 1 %. Следовательно, относительное изменение среднего ресурса здесь эквивалентно такому же относительному изменению числа электроламп. Параметр весомости для ресурса электроламп при вычислении среднего взвешенного геометрического показателя можно принять равным единице.
Для определения параметров весомости экспертным методом создаются экспертные комиссии, в состав которых должны входить высококвалифицированные специалисты. Число членов экспертной комиссии варьируется от 0 до 20. В состав экспертной комиссии не следует включать авторов изделия.
Экспертная комиссия принимает решение, представляя значения параметров весомости и проводя голосование экспертов. Решение принимается большинством не менее чем 2/3 голосов.
Для получения достаточно точных результатов необходимо принять меры по уменьшению субъективности, присущей экспертному методу. С этой целью проводится несколько туров опроса. Сначала эксперты проставляют значения параметров весомости независимо друг от друга, затем после непродолжительного публичного обоснования каждый эксперт проставляет новые значения и проводится второй тур опроса. Количество туров опроса зависит от компетентности экспертов. Приемлемая точность результатов получается в среднем за три тура опроса.
Эксперты определяют параметры весомости показателей качества в балах.
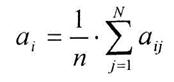
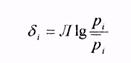
Полученные результаты применяют для определения среднего арифметического значения параметров весомости i-гo показателя качества по формуле:

где n - число показателей качества продукции; N - число экспертов;
аij - параметр весомости i-гo показателя, назначенный j-м экспертом.
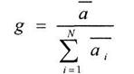
Нормированные коэффициенты весомости вычисляют по формуле

Пример вычисления коэффициентов (параметров) весомости по экспертному методу.
Необходимо определить параметры весомости показателей качества конкретного вида телевизоров. Эксперты определяют в баллах весомость трех показателей качества pi, р2, рЗ.
pi - избирательность;
р2 - коэффициент отражения;
рЗ - чувствительность.
Полученные по пятибалльной шкале параметров весомости:
| Параметры весомости aij | |||
| Эксперты | pl | p2 | р3 |
| Первый Второй Третий Четвертый Пятый Шестой Седьмой | 5 4 4 3 5 4 5 | 3 3 4 5 4 3 | 5 4 3 3 4 5 4 |
| Среднее значение | 4.3 | 3.4 | 4.0 |
Нормированное значение параметров весомости определяют по формуле:



Ввод известных коэффициентов (параметров) весомости.
Если расчет коэффициентов (параметров) весомости уже был произведен и они известны, то при принятии решения ввода уже известных параметров весомости это можно сделать, выбрав в меню выбора метода расчетов параметров весомости графы "Ввести известные".
Методы расчета комплексных показателей
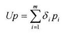
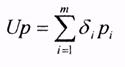
Комплексными показателями качества продукции могут служить различные средние взвешенные показатели. Эти показатели образуют усреднением исходных показателей качества продукции pi с параметрами весомости 6i.
При использовании средних взвешенных показателей для оценки уровня качества продукции необходимо обосновать их состоятельность и методы определения параметров весомости.
Программа использует для расчета уровня качества продукции следующие комплексные показатели, выраженные в виде средних взвешенных показателей:
| Наименование средних взвешенных показателей | Комплексные (средневзвешенные) показатели |
| 1. Арифметический |
|
| 2. Геометрический |
|
| 3. Квадратический |
|
Средний взвешенный геометрический показатель Vp следует применять как основной комплексный показатель для обоснованного решения задач управления качеством продукции.
Пример расчета среднего взвешенного геометрического показателя.
Необходимо сравнить при помощи показателей качества уровень качества пяти микросхем по трем характеристикам. Коэффициентами (параметрами) весомости воспользоваться известными.
Д ано:
| Электрические | Изделие | Параметр весомости | ||||
| параметры и технические характеристики | ||||||
| Напряжение питания, В | 5,1 | 5,15 | 5,11 | 5,13 | 5,09 | 0,14 |
| Время задержки переключения от 0 к 1, нc | 0,29 | |||||
| Время задержки переключения от 1 к 0, нc | 0,57 |
|
|
|
|
Для нахождения показателей качества воспользуемся формулой:

Сравнивая полученные значения можно сделать вывод, что изделие номер 4 имеет наименьший коэффициент (параметр) весомости, а следовательно, изделие номер 4 наилучшее.
Средний взвешенный арифметический показатель Up можно применять для упрощения расчетов вместо среднего взвешенного геометрического показателя Vp в случаях, когда усредняемые исходные показатели качества сравнительно мало отличаются друг от друга.
Пример расчета среднего взвешенного арифметического показателя.
Необходимо сравнить при помощи показателей качества уровень качества пяти микросхем по трем характеристикам. Коэффициентами (параметрами) весомости воспользоваться известными.
Дано:
| Электрические параметры и технические характеристики | Изделие | Параметр весомости | ||||
| Напряжение питания, В | 5,1 | 5,15 | 5,11 | 5,13 | 5,09 | 0,14 |
| Время задержки переключения от 0 к 1, нc | 0,29 | |||||
| Время задержки переключения от 1 к 0, нc | 0,57 |
Для нахождения показателей качества воспользуемся формулой:

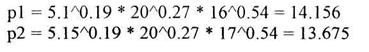
pl = 5.1*0.14 + 20*0.29 + 16*0.57 = 15.634
р2 = 5.15*0.14 + 20*0.29 + 17*0.57 = 16.211
р3 = 5.11*0.14+ 21*0.29 + 16*0.57= 15.925
р4 = 5.13*0.14 + 22*0.29 + 15*0.57 - 15.648
р5 = 5.09*0.14 + 21*0.29 + 17*0.57 = 16.493
Сравнивая полученные значения можно сделать вывод, что изделие номер 1 имеет наименьший коэффициент (параметр) весомости, а следовательно, изделие номер 1 наилучшее.
Средний взвешенный квадратический показатель можно применять также для упрощения расчетов вместо среднего взвешенного геометрического показателя Vp.
Пример расчета среднего взвешенного квадратического показателя.
Необходимо сравнить при помощи показателей качества уровень качества пяти микросхем по трем характеристикам. Коэффициентами (параметрами) весомости воспользоваться известными.
Д ано:
| Электрические параметры и технические характеристики | Изделие | Параметр весомости | ||||
| Напряжение питания, В | 5,1 | 5,15 | 5,11 | 5ДЗ | 5,09 | 0,14 |
| Время задержки переключения от 0 к 1, нc | 0,29 | |||||
| Время задержки переключения от 1 к 0, нc | 0,57 |
Для нахождения показателей качества воспользуемся формулой:


Сравнивая полученные значения можно сделать вывод, что изделие номер 1 имеет наименьший коэффициент (параметр) весомости, а следовательно, изделие номер 1 наилучшее.
Расчет среднего взвешенного комплексного показателя по всем трем методам. Применяется в том случае, когда необходимо получить наиболее достоверный результат при расчете комплексного показателя для оценки уровня качества. Расчет среднего взвешенного учитывает значения всех трех комплексных показателей (арифметического, геометрического, квадратического) и является средним арифметическим от значений трех комплексных показателей:
где
Sp - комплексный показатель, полученный расчетом по всем трем
методам;
Vp - средний взвешенный геометрический показатель;
Up - средний взвешенный арифметический показатель;
Кр - средний взвешенный квадратический показатель.
Пример расчета среднего взвешенного комплексного показателя по всем трем методам.
Необходимо сравнить при помощи показателей качества уровень качества пяти микросхем по трем характеристикам. Коэффициентами (параметрами) весомости воспользоваться известными.
Дано:
| Электрические параметры и технические характеристики | Изделие | Параметр весомости | ||||
| Напряжение питания, В | 5Д | 5,15 | 5,11 | 5,13 | 5,09 | 0,14 |
| Время задержки переключения от 0 к 1, нc | 0,29 | |||||
| Время задержки переключения от 1 к 0, нc | 0,57 |
1. Средний взвешенный геометрический показатель:
gl = 14.980
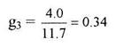
g2 = 14.447 g3 = 14.652 g4 = 15.652 g5 = 14.313
2. Средний взвешенный арифметический показатель:
al =7.393
а2=7.503 а3=7.504 а4=7.555 а5=7.557
3. Средний взвешенный квадратический показатель:
к1 =8.975
к2=9.124 кЗ=9.213 к4 = 9.346 к5 = 9.326
4. Средний взвешенный комплексный показатель по всем трем
методам:
s1 = (14.980 + 7.393 + 8.975) = 10.272
s2 =(14.447 + 7.503 + 9.124) = 10.536
s3 = (14.652 + 7.504 + 9.213) = 10.456
s4 = (15.652 + 7.555 + 9.346) = 10.405
s5 = (14.313 + 7.557 + 9.326) = 10.682
Сравнивая полученные значения можно сделать вывод, что изделие номер 1 имеет наименьший коэффициент (параметр) весомости, а следовательно, изделие номер 1 наилучшее.
Организация производства радиоэлектронных средств определяется технологией производства РЭС. Технология – прикладная наука, изучающая основные операции и закономерности, действующие в процессе производства, и использующая их для получения изделий требуемого качества, заданного количества и номенклатуры при минимальных материальных, энергетических и трудовых затратах.






