Категории ТП и их граничные условия

ТП

Показателен

Нормативные значения показателей следует устанавливать в зависимости от типа производства (ГОСТ 3.11-384). Нормативные значения показателей устанавливают отрасли или предприятия (фирмы) на основе анализа мировых и отечественных достижений в области технологий на основе данных о работе смежных пред­приятий и изучение прогноза развития технологии производства изделия РЭС. Нормативные значения показателя оценки уровня техпроцессов должны постоянно пересматриваться и обновляться, но не реже собственной экономической целесообразности. Для установления нормативных значений показателей следует классифицировать цеха, производственные участки и рабочие места по видам производств с учетом основных признаков.

1. Характеристика производства: тип производства, объем
выпуска и численность рабочего персонала.

2. Характеристика изделий: массогабаритность, сложность,
технологичность и т.д.

Примерный перечень нормативных значений показателей оценки уровня качества технических показателей для механосборочных производств РЭС.

Показатель качества Тип производства
    Едини-чное Мелко- серийное Средне- серийное Крупно-серийное Массовое_____ Коэффициент весомости
1. Производительность труда 0.65 0.80 0.85 0.90 0.95 0.3
2. Прогрессивность техно­логического оборудова­ния 0.45 0.50 0.55 0.60 0.70 0.3
3. Уровень механизации и автоматизации 0.90 0.95 0.95 0.98 1.00 ' 0.2
4. Использование мате­риалов или СТО 0.70 0.70 0.80 0.80 0.85 0.2

Нормативные значения показателей, приведённые в пример, условны, и в каждом конкретном случае могут быть изменены пользователем данной методики оценки уровня качества ТП. Базовые нормативные значения показателей обычно уста­навливаются директивными организациями в зависимости от специфических особенностей отраслей производства. Графически значения показателей и значения конкретного уровня ТП можно представить в виде всевозможных гистограмм.

Разработка мероприятий по повышению уровня качества

По результатам оценки уровня качества ТП разрабатываются мероприятия, направленные на совершенствование аттестуемого ТП с целью повышения его показателей. Обычно подобные мероприятия разрабатываются в следующей последовательности:

1) Наименование мероприятия;

2) Цель мероприятия;

3) Место проведения мероприятия (цех, производственный
участок, рабочее место);

4) Исполнитель (т. е. персонально записывается должность,
фамилия, имя, отчество человека, выполняющего мероприятия;

5) Срок исполнения;

6) Ожидаемые затраты (деньги и время);

7) Годовой экономический эффект от реализации этого
мероприятия;

8) Ожидаемые значения показателей уровня качества ТП.

Для разработки мероприятия необходимо осуществить исследование и анализ факторов, влияющих на количественные характеристики тех показателей уровня ТП, которые мы намереваемся улучшить, установить причины низких значений этих показателей, и определить конкретные направления их совершенствование. Для осуществления подобного анализа используются всевозможные показатели этого анализа с их нормативными значениями. Примерный перечень показателей ана­лиза ТП следующий:

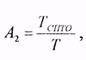
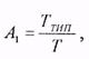
1. Показатели применения типовых ТП:

А - показатели анализа:где

Ттип - трудоёмкость изготовления изделий по типовым процессам;

Т - общая трудоёмкость.

2. Показатель применения стандартной переналаживаемой технологической оснастки:

где

Тспто - трудоёмкость изготовления изделий на стандартной переналаживаемой технологической оснастке;

3. Показатель оснащённости ТП:где

Noch-количество единиц (наименований) применяемой технологической оснастки.

Nдet-общее количество оригинальных деталей, входящих в изделие РЭС.

4. Показатель применения механизированной технологической оснастки:

где

Nmex.och-количество механизированной технологической оснастки;

Nобщ - общее количество технологической оснастки.

По результатам оценки уровня качества ТП аттестационная комиссия присваивает техпроцессу предприятию в целом одну из трёх категорий:

I - высшая;

II- первая;

III - вторая.

К высшей категории относятся ТП, которые по своим показателям качества соответствуют лучшим мировым или отечественным достижениям или превосходит их.

К первой категории относятся ТП, которые по своим показателям качества находятся на уровне современных требований производства и соответствуют утверждённой технологической документации.

Ко второй категории относятся ТП, которые по своим показателям качества не отвечают современным требованиям производства, и достигнутому уровню технологии.

Количество категорий ТП определяется следующими значениями:

Высшая (В): 1.0 > Ут > 0.92

Первая (I): 0.92 > Ут > 0.7

Вторая (II): Ут < 0.7

С помощью граничных значений уровня ТП и нормативных значений показателей осуществляется регулирование (корректировка) уровня ТП в сторону его повышения. Таким образом, с помощью описанной методологии осуществляется коли­чественная оценка качества любого ТП и любого производства РЭС в целом.

Организация проведения аттестации ТП

Подготовка к проведению аттестации включает в себя следующие виды работ:

1) Закрепление подразделения для методического и
организационно-технического руководства;

2) Установление заданий цехам, производственным
подразделениям - связан с проведением аттестации;

3) Назначение ответственных исполнителей;

4) Назначение сроков выполнения работ по аттестации.
Подготовку к аттестации осуществляет предприятие,

эксплуатирующее данный ТП. Основанием для проведения аттестации ТП является приказ администрации предприятия или вышестоящей организации. Предприятие, по результатам оценки уровня ТП, обеспечивает подготовку следующих документов:

1) Акт отраслевой аттестационной комиссии;

2) Карта уровня технологического процесса производства
РЭС;

3) Карта уровня техпроцессов видов производств.

Карта уровня техпроцессов видов производств имеет соответствующую форму (форма 7) и включает следующие сведения:

1) Наименование и код предприятия;

2) Дата проведения аттестации;

3) Наименование ТП, подлежащего аттестации;

4) Группа ТП по классификатору техпроцессов и операций
(К.Т.О.);

5) Удельный вес ТП по трудоёмкости по отношению к общей
трудоёмкости изготовления изделий на предприятии;

6) Наименование изделия РЭС, которое изготавливается с
помощью аттестуемого ТП, классификационная группа изделия по

классификатору ЕСКД и конструкторско-технологическому классификатору;

7) Наименования показателей оценки уровня ТП.
Коэффициенты весомости отдельных показателей оценки уровня
ТП;

8) Количественные значения показателей оценки уровня ТП.
Из них - нормативные - отдельно и достигнутые - отдельно;

9) Достигнутая категория уровня качества ТП;

10) Установленное (присвоенное) аттестационной комиссией
значение показателя уровня ТП.

Утверждается форма 7 аттестационной комиссией в составе председателя и членов комиссии.

Аналогично заполняется форма, которая представляет собой карту уровня технологического процесса производства РЭС в целом.

Мероприятия, направленные на повышение уровня технологических процессов видов производств и технологического процесса производства РЭС в целом (форма 4)





Подборка статей по вашей теме: