Часто разрушение горных пород происходит за пределами области упругих деформаций — в области пластического состояния, характеризуемого появлением в породах значительных остаточных деформаций. Пластические деформации возникают в результате перемещения дислокаций; они начинаются от мест нарушения структуры в кристалле и распространяются по плоскости скольжения постепенно, не нарушая кристаллической структуры и сплошности вещества. Наряду с этим в породах наблюдается взаимное перемещение довольно больших объемов, обжатие, смятие и т. д. (квазипластичность).
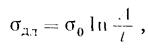
Максимальное напряжение, не приводящее к остаточным деформациям, называется пределом упругости данной породы. До достижения предела упругости зависимость между напряжением и предельной деформацией у породы прямо пропорциональная; наглядно она представляется механической моделью — пружиной (тело Гука).
В случае идеального пластического тела после достижения предела упругости тело начинает пластически течь — деформация возрастает при постоянном напряжении. Механическая модель, описывающая эту деформацию, представляет собой тяжелое тело, лежащее на горизонтальной плоскости и соединенное с пружиной (тело Сен-Венана).
Большинство горных пород относится к упрочняющимся телам; для поддержания в них пластических деформаций необходимо повышать напряжения; рост напряжений происходит с убывающей скоростью. Такое поведение породы моделируется комбинацией идеально упругого тела Гука и идеально вязкого тела Ньютона (поршень с отверстиями, движущийся в цилиндре, наполненном вязкой жидкостью). При параллельном соединении этих тел получается модель тела Кельвина — Фойгта, при последовательном — тела Максвелла (рис. 34).

Упрощенная связь между напряжением а и относительной деформацией ε в области пластической деформации выражается коэффициентом Е' (секущий модуль деформации)
Предельный секущий модуль деформации — отношение величины прироста напряжений в пластической зоне (до момента разрушения породы) к величине полной относительной деформации в области пластической зоны (до момента разрушения), называемое модулем пластичности.
Если соединить прямой линией конечную точку графика «напряжение — деформация» (момент разрушения образца) с началом координат, то тангенс такого угла называется модулем полной деформации:

Пластическая деформация отличается от разрушающей: тем, что она происходит без явного нарушения сплошности породы. На дополнительное деформирование пластической породы с целью ее разрушения тратится большее количество энергии, чем на разрушение упругой (хрупкой) породы с тем же пределом прочности. Это видно из рис. 36, где площадь OCDравна работе Wр, затраченной на разрушение реального образца, а площадь OAB— работе, затраченной на разрушение идеально хрупкой породы,W у с тем же σсж. Отношение Wрк W у представляет собой коэффициент пластичности kпл:


По величине kпл можно сравнивать относительную пластичность различных пород. Обычно с увеличением предела прочности одноосному сжатию коэффициент пластичности уменьшается.
Повышение предела прочности пород не всегда затрудняет их разработку. Высокопрочные, но хрупкие породы значительно легче поддаются динамическому разрушению (например, взрыванию), чем более слабые, но высокопластичные породы. Для характеристики высокопластичных пород существует понятие вязкости. Наиболее трудно разрушаются породы, имеющие высокое значение σсж и значительную пластичность, например базальты.
Модуль упругости более пластичных пород обычно ниже, чем пород менее пластичных.
Пластичность зависит от минерального состава горных пород. Наличие жестких кварцевых зерен и полевого шпата в породе уменьшает ее пластичность. Пластичность углей зависит от содержания в них углерода.
При превращении малометаморфизованных углей в антрациты пластичность углей уменьшается в 30 раз.
Пластические характеристики пород чувствительны к внешним воздействиям; они повышаются при увлажнении пород. Исключительно высокими пластическими свойствами обладают связные (группа пород по строению 3. п) породы. В зависимости от степени их увлажнения глинистые породы могут быть хрупкими, пластичными и текучими.
Пределы пластичности — это значения влажности породы (в %), при которых происходит переход породы из хрупкого состояния в пластическое и из пластического в текучее (соответственно нижний предел пластичности w п и верхний предел пластичности — предел текучести wт). Число пластичности Ф равно разности верхнего и нижнего пределов пластичности и характеризует диапазон влажностей, в пределах которого порода находится в пластическом состоянии. Характеристика некоторых пород по этим параметрам приведена в табл. 8.

С увеличением числа пластичности глин возрастает их сжимаемость и водонепроницаемость.
Пластичность скальных пород увеличивается с повышением температуры и всестороннего давления; количество дислокаций в породах при этом не изменяется, но значительно увеличивается их подвижность, что способствует пластической деформации. Породы, ведущие себя как хрупкие в обычных условиях, при повышенных давлениях и температурах приобретают явно выраженные пластические свойства. Это важно при разработке месторождений на больших глубинах. Например, способность к пластическим деформациям у известняков и алевролитов появляется уже при всесторонних давлениях около 500 кгс/см2, у ангидритов — около 1000 кгс/см2. Пластические деформации песчаника возможны при давлениях свыше 4000 ат.
Пластические деформации при больших всесторонних давлениях объясняются тем, что в этих условиях более легко могут проявиться внутризеренные движения и смещения, не приводящие к нарушению сплошности и возникновению трещиноватости, т. е. к разрушающим деформациям.
РЕОЛОГИЧЕСКИЕ СВОЙСТВА ПОРОД
Под реологическими понимают свойства, характеризующие изменение всех механических характеристик породы при длительном воздействии на нее нагрузок, в том числе и нагрузок ниже предела упругости.
Одно из основных реологических свойств пород — ползучесть (крип) — явление постепенного роста деформации породы во времени при постоянном напряжении.
Внешне явление ползучести похоже на пластическое течение. Но последнее происходит только за пределами зоны упругости и при возрастающем напряжении, в то время как ползучесть может проявляться также при напряжениях, не превышающих предела упругости при достаточно длительном воздействии нагрузки.
Идеальная кривая изменения деформации породы при длительном воздействии нагрузки состоит из трех отрезков, соответствующих трем основным стадиям деформации (рис. 37):
I — обычному процессу мгновенной деформации в момент нагружения породы;
II — установившемуся состоянию пластического течения при постоянной нагрузке (ползучести);
III — стадии возрастания скорости деформации и наступления момента разрушения породы.

Для анализа явления ползучести можно воспользоваться моделью тела Максвелла.
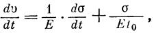
Если не превышен предел упругости, то общая деформация ε породы в любой отрезок времени состоит из двух составляющих — упругой деформации εу и деформации ползучести εп:

Скорость изменения деформации во времени:

Ввиду того что
, а составляющая ползучести является некоторой функцией напряжения:


где t0 — постоянная, имеющая размерность времени.
Это равенство называется уравнением ползучести. Если напряжения σ постоянны, то

Связные породы (глины, аргиллиты, глинистые сланцы) обладают большим значением ползучести. Криворожские породы (кварцево-серицитовый сланец, гидрогематитовый роговик, аркозовый песчаник) обладают ползучестью, в среднем составляющей 20 — 35 % первоначальной мгновенной упругой деформации, причем наиболее значительные деформации происходят в течение первых 1,5 — 2 суток нагружения (рис. 38).

Ползучесть зависит от величины и направления приложения нагрузки на породу. Наибольшие деформации ползучести наблюдаются при нагрузках, приложенных перпендикулярно слоистости, причем отношение
достигает 1,4.
Явление, обратное ползучести, — постепенное снижение напряжений в породе при постоянной ее деформации — называется релаксацией напряжений. Релаксация представляет собой ползучесть при напряжении, которое уменьшается пропорционально нарастающей пластической деформации; упругие деформации, появившиеся в породе при первоначальном нагружении, постепенно переходят в пластические. В результате этого после снятия нагрузки образец не восстанавливает своей первоначальной формы, несмотря на то что исходные напряжения не превышают предел упругости породы.
При релаксации прирост деформаций во времени не происходит, поэтому предыдущее уравнение может быть написано как уравнение релаксационного процесса, если

В этом уравнении показатель t 0 равен времени, в течение которого напряжения в теле убывают в е раз, и называется периодом релаксации.
Период релаксации для большинства горных пород очень велик и поэтому для характеристики реологических свойств пород часто используют относительный показатель падения напряжения в породе R ' за определенный период (неделя, месяц и т. д.):

где σ1 — напряжения в испытываемом образце в момент приложения нагрузки; σ2 — напряжения в образце по истечении определенного периода.
Рассмотрение ползучести и релаксации пород показывает, что существует общая закономерность изменения свойств пород со временем действия нагрузки — чем длительнее воздействие на породы нагрузки, тем слабее становятся упругие свойства пород, уменьшается предел упругости и тем сильнее проявляются их пластические свойства. Эта закономерность имеет весьма существенное значение, так как при разработке месторождений можно встретиться с самыми различными по длительности процессами воздействия нагрузок на породы, начиная от мгновенных (взрывание, откалывание, дробление) и кончая нагрузками, продолжающимися в течение нескольких лет (нагрузки на целики и кровлю подземных выработок, устойчивость отвалов и бортов карьеров).
Если длительность приложения нагрузки становится сравнимой с периодом релаксации породы, то порода приобретает пластические свойства. В результате этого возникают оползневые и просадочные явления, нежелательные перераспределения напряжений в массиве вследствие горного давления и разрушение целиков, выработок и т. д.
В горном деле ползучесть входит как одна из составных частей в понятие «пучение» - выпирание породы в подземные горные выработки без значительных нарушений ее сплошности. В понятие «пучение» входят набухание пород под влиянием влаги, увеличение объема вследствие химических реакций и от выделения газов, выдавливание сыпучих пород горным давлением и пластические деформации пород. Так как пластическую породу окружают массивы, то естественно, что ее деформация происходит в сторону выработки. Наиболее значительно пучению подвержены глины, глинистые сланцы, аргиллиты; на больших глубинах пучат также песчанистые сланцы, мергели, угли.
При длительном воздействии напряжений происходит постепенное снижение прочности горных пород (рис. 39).

В этом случае используют понятие «длительная (текущая) прочность». Нагрузка с увеличением времени воздействия уменьшается по определенной кривой, ассимптотически приближаясь к некоторому предельному значению, называемому пределом длительной прочности
.
Длительная прочность
значительно меньше стандартной прочности:

где σ0 — прочность породы при мгновенном нагружении; А — константа, характеризующая стойкость породы; t— время приложения нагрузки.
Для некоторых глин и мергелей Курской магнитной аномалии
, для большинства других пород предел длительной прочности
.
Модуль упругости при длительном воздействии нагрузок
также меньше Е. Обычно

Уменьшение прочности горной породы при увеличении времени воздействия нагрузки на практике характеризуется коэффициентом, равным отношению предела прочности на сжатие к некоторому значению длительной прочности (табл. 9).

При длительном воздействии нагрузки иногда происходит уплотнение (консолидация) глинистых пород. Это обусловлено выдавливанием из глин воды, уплотнением минеральных частиц, образованием новых, более устойчивых структурных связей, залечиванием микротрещин и дефектов. В результате этого прочность таких пород со временем может возрастать.
Учет реологических явлений в породах приобретает особое значение при разработке угольных месторождений на больших глубинах, так как уголь часто залегает в относительно слабых осадочных породах (глинистые сланцы, аргиллиты, алевролиты и т. д.), склонных к пластическим деформациям.