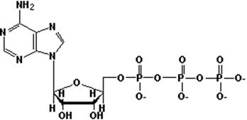
Роль АТФ - хранилище биологической энергии. В 1 молекуле АТФ имеется 2 макроэргические связи. При их расщеплении высвобождается 32 кДж энергии.
![]() |
АТФ присутствует в клетках в диссоциированной форме: АТФ4-АТФ4- ------> АДФ3- + Фн2- + Н+
10-3 10-3 10-3 10-7
Т. о. всякая работа в клетке сопровождается образованием H+, которые захватываются буферами.
1 причина макроэргичности: т. к. концентрация АТФ, АДФ и Фн одинакова (по 10-3 моль), а концентрация Н+ = 10-7 моль,
согласно закону соотношения действующих масс равновесие сдвинуто вправо.
2 причина: в структуре АТФ имеется 3 фосфата и 2 ангидридные связи, за счет этого на хвосте молекулы АТФ создается конфармационная напряженность, возникает сила электростатического отталкивания и АТФ отдает молекулу фосфата. И при этом она переходит в более выгодное состояние АДФ + Фн, которое более устойчиво, это 3-я причина макроэргичности.
В клетках АТФ присутствует в виде магниевой соли. Существует точка зрения, что уровень Mg2+ отражает уровень АТФ.
В 1940-41 гг немецким биохимиком Фрицем Липманом была создана концепция АТФ-азного цикла: в процессе фото- или хемосинтеза энергия депонируется в форме АТФ. Синтез АТФ в организме происходит из АМФ:
Фн
АМФ + Фн ------> АДФ -------> АТФ







