Первым этапом развития автоматизации ПС является создание систем автоматического управления на базе микропроцессорных систем или контроллеров. Достоинством микропроцессорных систем является их узкая специализация, требующая оптимальный объём памяти и соответствующее быстродействие. В этом случае микропроцессорная система разрабатывается для конкретной единицы оборудования с числом контролируемых параметров £10. Скорость обработки, зависящая от быстродействия микропроцессорной системы, определяется физическими законами изменения того или иного параметра объекта управления. Недостатком микропроцессорной системы является высокая стоимость, определяющаяся единичным производством, т.к. для индивидуальных ОУ требуется специализированная микропроцессорная система.
Контроллеры представляют собой микропроцессорную систему широкого функционального назначения и применяются для управления различными ОУ с изменением алгоритма управления в ПЗУ. Для обеспечения управления различными ОУ в контроллерах существует определенный запас памяти и применяется микропроцессор с повышенным быстродействием. Для обеспечения переналадки требуется в ПЗУ заложить программное обеспечение для конкретного ОУ.

И – исполнительное устройство;
П – преобразователь;
К – контролирующий блок.
Вторым этапом развития автоматизации ПС является автоматизированные системы управления, которые позволяют участие оператора в ходе выполнения процесса управления.
|
![]() |
Верхний уровень представляет собой управляющую ЭВМ (УВМ) с повышенными возможностями (большим объёмом памяти, высоким быстродействием).
Двухуровневая АСУ ТП может быть двух типов:
1. централизованная
2. децентрализованная
В 1-м случае СУ нижнего уровня подчиняется командам ЭВМ верхнего уровня и не могут принять своё решение. Достоинством таких АСУ ТП является простота организации, надёжность, низкая стоимость. Недостатки: в случае выхода ЭВМ из строя одной из АСУ нижнего уровня большой выход брака, определяющийся большим временем цикла обращения к данной АСУ.
Во 2-м случае АСУ ТП передает часть функций управления на АСУ нижнего уровня. В этом случае АСУ нижнего уровня способна принимать решения в ходе выполнения ТП. Достоинства: снижение выходного брака, повышение качественных показателей ТП. Недостатки: высокая стоимость за счёт расширения объёма памяти и повышения быстродействия микропроцессора нижнего уровня.
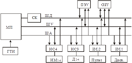
Структурная схема АСУ нижнего уровня.
![]() |
|
Дисп – дисплей;
Д1 … Дn – датчики;
ИМ1 …ИМn – исполнительные механизмы;
ИС – интерфейсы связи.
В данном случае происходит параллельная работа САУ с оператором. Интерфейсы связи предназначены для согласования уровней выходных сигналов с датчиков, пульта и шины данных с необходимыми уровнями исполнительных механизмов, дисплея и микропроцессорной системы. Они также формируют последовательность запроса и выдачи управляющих сигналов. Интерфейсы связи могут также преобразовывать коды последовательный в параллельный и наоборот. Они служат в качестве шинных формирователей.
Интерфейсы связи в необходимых случаях могут производить предварительную статистическую обработку поступающей с датчиков информации с целью снижения вероятности принятия ошибочных решений оператора. В этих случаях на оператора возлагается большая ответственность, но при этом снижается быстродействие принятия решений микропроцессором. Такое разделение функций между микропроцессором и интерфейсами снижает нагрузку на микропроцессор. При организации двухуровневого АСУ ТП в микропроцессорную систему включают интерфейсы связи с ЭВМ, которые реализованы стандартными схемами. В двухуровневых АСУ ТП, если не существует приоритет выполнения какой-либо операции, происходит последовательный опрос систем нижнего уровня. В случае существования приоритета к данной системе обращаются за один цикл несколько раз.
Типы контроллеров (интерфейсы связи)
Контроллеры связи с объектами обеспечивают три режима работы: 1. Чтение, когда информация от ОУ передается на микропроцессорную систему; 2. Запись; 3. Режим прерывания выполнения основной программы.
При выполнении третьего режима микропроцессор приостанавливает ход выполнения основной программы и переходит в: а) режим ожидания; б) обслуживание процедуры обработки прерывания; в) режим прямого доступа к памяти (ПДП): микропроцессор приостанавливает свои действия, а ОУ осуществляет через контроллер ПДП передачу информации в область ОЗУ, отведенную для режима ПДП.
Поэтому принципу все контроллеры делятся на:
- активные (контроллер ПДП), которые осуществляют без микропроцессора обмен информацией;
- пассивные – управление ими осуществляется микропроцессором. В них обмен данными осуществляется в трёх режимах:
1) синхронный – осуществляется редко и применяется только для процессов, строго фиксированных во времени. Синхронный обмен информацией медленнодействующий, но он обеспечивает более высокую помехозащищенность канала передачи информации.
2) Асинхронный – наиболее часто используемый. Достоинством является высокое быстродействие, недостатком – низкая помехозащищенность;
3) С прерываниями – в этом режиме выполнение хода основной программы ведет к потере времени обработки получаемой информации, что снижает быстродействие системы
Для быстрых процессов используется параллельный обмен данными. Последовательный – при длинных ЛС, требующих установки шинного формирователя, т.к. любая длинная линия обладает распределенной индуктивностью, ёмкостью и активным сопротивлением, что приводит к искажению как формы сигналов, так и снижению их амплитуды.








