Мегалобластическая анемия, сочетающаяся с нарушением психического развития, может обнаруживаться у младенцев вследствие врождённого нарушения всасывания фолатов в тонком кишечнике. Хороший клинический эффект достигается парэнтеральным введением максимальных лечебных доз витамина.
Мегалобластическая анемия вследствие дефекта фолатредуктазы. В такой ситуации нарушается превращение фолиевой кислоты в её коферментную форму – 5-формил-ТГФК. Заболевание прогрессирует медленно, неврологические нарушения обычно отсутствуют, коррегируется повышенными дозами фолиевой кислоты.
Мегалобластическая анемия из-за недостаточности формиминотрансферазы – фермента, необходимого для образования 5-формимино-ТГФК из гистидина. Заболевание обнаруживается в течение первого года жизни ребёнка и характеризуется задержкой умственного и физического развития, аномальными изменениями электроэнцефалографии. Обнаруживается по аномально высокому содержанию фолатов в крови (задержка превращения их в активную фрму) и увеличения выведения метаболитов витамина при нагрузке гистидином.
Другие разновидности анемии затрагивают иные пути метаболизма фолатов, в частности, описана мегалобластическая анемия вследствие дефекта 5,10-метилен-ТГФК-редуктазы ( фермент восстанавливает 5,10-метилен-ТГФК в 5-метил-ТГФК), особую роль в заболевании мегалобластической анемией играет недостаточность витамина В12 (см. далее). Гипервитаминоз не описан. Даже при приёме доз, в 20-40 раз превышающих физиологические, токсических эффектов не отмечалось (в клинических испытаниях больные атеросклерозом принимали до 80 мг/сутки витамина В9).
Оценка обеспеченности организма фолацином. Об обеспеченности организма фолиевой кислотой можно судить по содержанию её в крови (лучше – в плазме крови). Содержание фолацина в моче, как правило, не является достоверным критерием обеспеченности организма этим витамином. Быстрое удаление витамина из крови при внутривенном его введении может указывать на недостаточную потребность организма в этом витамине (активный «захват» тканями).
Нередко об обеспеченности организма витамином Вс судят по косвенным показателям: морфологическим изменениям крови и костного мозга, а также по уровню выведения некоторых продуктов обмена витамина с мочой (формиминоглутаминовой или уроканиновой кислот).
Суточная потребность. Пищевые источники. Витамина много в лиственных овощах, например, в шпинате. Он содержится в салате, капусте, томатах, землянике. Богаты им печень и мясо, яичный желток.
При скудном питании рекомендуемая доза составляет 150- 200 мкг фолиевой кислоты ежедневно, лечебная доза – до 2 мг в сутки.
Особое значение приобретает достаточная обеспеченность фолиевой кислотой в ранние сроки беременности: на 2-й неделе (начало развития головного мозга) даже кратковременный дефицит этого витамина может привести к появлению врождённых уродств, нарушению физического и психического развития новорождённого.
Однако дефицит фолата имеет другие недавно изученные биологические последствия, включая ненормально высокий уровень урацила в ДНК. Последнее, как указывалось выше, является следствием лимита биосинтеза тиминовых нуклеотидов. Этот феномен ведёт к хромосомным поломкам, обуславливающим в значительной степени дефект нервной трубки в период эмбриогенеза. Уже не вызывает сомнений, что появление таких врождённых пороков развития, как spina bifida и анэнцефалия, патогенетически связано с дефицитом фолата. Их предупреждение, как показывает мировой опыт, достигается назначением фолиевой кислоты на протяжении всего периода беременности в дозе не менее 400 мкг в сутки, особенно важно это делать в раннем сроке, когда нервная система плода развивается особенно быстро.
Витамин В12 (кобаламин), антианемический витамин
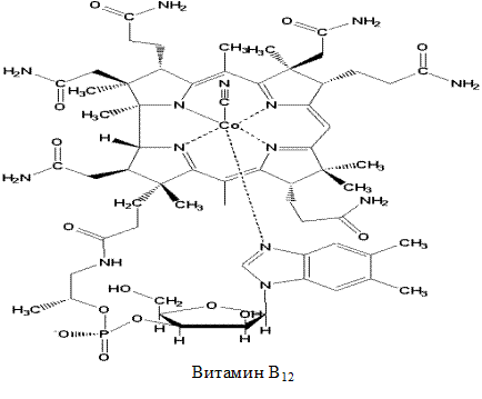
Химическое строение и свойства. Злокачественная анемия (болезнь Аддисон-Бирмера) оставалась смертельным заболеванием до 1926 г., когда впервые для её лечения применили сырую печень. Поиски содержащегося в печени антианемического фактора привели к успеху, и в 1955 г. Дороти Ходжкин расшифровала структуру этого фактора и его пространственную конфигурацию с помощью метода рентгеноструктурного анализа.
Структура витамина В12 отличается от строения всех других витаминов своей сложностью и наличием в его молекуле иона металла – кобальта. Кобальт связан кооординационной связью с 4 атомами азота, входящими в состав порфириноподобной структуры (называемой корриновым ядром), и с атомом азота 5,6-диметилбензимидазола. Кобальтсодержащее ядро молекулы представляет собой плоскостную структуру, с перпендикулярно расположенным к ней нуклеотидом. Последний, помимо 5,6-диметилбензимидазола, содержит рибозу и фосфорную кислоту (циановая группа, связанная с кобальтом, присутствует только в очищенных препаратах витамина, в клетке она замещается водой или гидроксильной группой). Из-за присутствия в молекуле витамина кобальта и амидного азота это соединение получило название «кобаламин».
Метаболизм. Содержащийся в пище витамин В12 в желудочном соке связывается с вырабатываемым обкладочными клетками слизистой желудка белком - гликопротеином, получившим название внутреннего фактора Касла. Одна молекула этого белка избирательно связывает одну молекулу витамина; далее в подвздошной кишке этот комплекс взаимодействует со специфическими рецепторами мембран энтероцитов и всасывается путём эндоцитоза

Затем витамин освобождается в кровь воротной вены. При пероральном назначении высоких доз цианкобаламина он может абсорбироваться в тонком кишечнике путём пассивной диффузии без участия внутреннего фактора, но это медленный процесс. При заболеваниях желудка, сопровождающихся нарушением синтеза внутреннего фактора, всасывания кобаламина не происходит.
Цианкобаламин, используемый в медицинской практике, в энтероцитах превращается в оксикобаламин, являющийся транспортной формой витамина. Транспорт оксикобаламина кровью осуществляется двумя специфическими белками: транскобаламином I (α-глобулин с молекулярной массой ̴120000) и транскобаламином II (β-глобулин с молекулярной массой 35000). Второй из этих белков в транспорте витамина играет главную роль, а транскобаламин I служит своеобразным циркулирующим депо витамина. В печени и почках оксикобаламин превращается в свои коферментные формы: метилкобаламин (метил-В12) и дезоксиаденозинкобаламин (д-аденозин-В12). Коферменты с током крови разносятся по всем тканям организма.
Выводится из организма витамин с мочой.
Биохимические функции. К настоящему времени известно ~ 15 различных В12-регулируемых реакций, но только две из них протекают в клетках млекопитающих: 1/. синтез метионина из гомоцистеина (явно не удовлетворяющий потребностям организма) и 2/. изомеризация D-метилмалонил-КоА в сукцинил-КоА. Рассмотрим эти реакции.
1. В первой реакции участвует метил-В12, являющийся коферментом метионинсинтазы (гомоцистеинметилтрансферазы ).. Фермент переносит метильную группу с 5-метил-ТГФК на гомоцистеин с образованием метионина:
ТГФК 5-метил-ТГФК
![]() |
|
| В12 |
CH2 CH2
| |
CH2 CH2
| |
CH – NH2 CH – NH2
| |
COOH метионинсинтаза COOH
Гомоцистеин Метионин
При уменьшении содержания в диете витамина В12 синтез метионина метионинсинтазой снижается, но поскольку при полноценном питании метионин поступает с пищей, метаболизм белков нарушается не сразу. Вместе с тем, падение активности метиоинсинтазы приводит к накоплению 5-метил-ТГФК (см. схему), который образуется при восстановлении 5,10-метилен-ТГФК, т.е. исчерпывается пул других коферментов ТГФК. Таким образом, даже при условии вполне достаточного общего уровня фолатов создаётся их функциональный дефицит – уменьшается содержание формил- и метилен-производных ТГФК. Как раз эти производные, а точнее приносимые ими одноуглеродные радикалы, необходимы для синтеза предшественников нуклеиновых кислот. Этот феномен получил название «секвестрация» пула ТГФК.
Описанная реакция служит примером тесной взаимосвязи межу двумя витаминами- фолиевой кислотой и кобаламином. Не удивительна поэтому и схожесть симптомов заболевания при дефиците какого-либо из них. При недостаточности витамина В9, а также при снижении активности метионинсинтазы – В12-зависимого фермента, функциональный пул ТГФК может быть легко исчерпан путём «секвестрации», что влечёт за собой избыточное накопление субстрата метионинсинтазной реакции – гомоцистеинаметионин. Таким образом, коферментная функция ТГФК в переносе метильной группы (ключевая реакция) зависит от доступности фолата, т.е. от адекватного его поступления в организм.
Отмечена прямая корреляция между показателями тромбоэмболических осложнений, смертностью от ишемической болезни сердца и уровнем гомоцис-теинемии у этих больных. Увеличенный уровень гомоцистеина в крови постулируется в настоящее время как независимый фактор риска развития ИБС и её тромбоэмболических осложнений. Роль гипергомоцистеинурии как пускового фактора атерогенеза связана с прооксидантным действием гомоцистеина, со способностью этой аминокислоты угнетать рост эндотелиальных клеток, оказывать митогенный эффект на гладкомышечные клетки, стимулировать адсорбцию белков в холестериновой бляшке и интенсифицировать биосинтез коллагена. Принципиально важными являются индуцированное гомоцистеином гиперкоагуляционное состояние, снижение мощности систем антиоксидантной защиты тканей, активация биосинтеза NO-синтазы.
2. Вторая реакция требует участия другой коферментной формы витамина – д-аденозин-В12. Кофермент входит в состав метималонил-КоА-мутазы. Особенностями катализа этого фермента является образование свободнорадикальных промежуточных продуктов реакции и изменение валентности кобальта. Субстратом для его действия является метилмалонил-КоА, образующийся при карбоксилировании пропионил-КоА (реакция рассматривалась в разделе «Биотин»).
О О
║ ║
С~ S KoA С ~S KoA
│ метилмалонил-КоА-мутаза │
CH2 – CH CH2
│ │
COOH CH2
│
