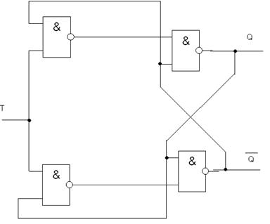
Т-триггер – элементарный автомат, имеет одну двоичную переменную Т и функция переходов описывается переключательной функцией:

Q(t+1) = T(t+1)Q(t) + T(t+1) Q(t) = T(t+1) Ä Q(t),
т.е. выходной сигнал на Т-триггера определяется как сумма по модулю 2 состояния автомата в момент t и входного сигнала в момент (t+1), т.е. выполняет логическую функцию «Исключащее ИЛИ».
Функциональное назначение автомата Т-типа - подсчет числа единичных значений входного сигнала.
|
|












Рисунок 5.1 - Обозначение и временная диаграмма работы Т-триггера
Таблица переходов Т-триггера
| Qt | T | Qt+1 | комментарии |
| Установка (переход) в «1» | |||
| Сохраняет «1» | |||
| Установка (переход) в «0» | |||
| Сохраняет «0» |

Рисунок 5.2 - Схема асинхронного Т-триггера






