Условия на границе раздела двух магнетиков.
Установим связь для векторов В и Н на границе раздела двух однородных магнетиков (магнитные проницаемости m1 и m2) при отсутствии на границе тока проводимости.
Построим вблизи границы раздела магнетиков 1 и 2 прямой цилиндр ничтожно малой высоты, одно основание которого находится в первом магнетике, другое — во втором.
Основания DS настолько малы, что в пределах каждого из них вектор В одинаков.
Согласно теореме Гаусса о потоке вектора индукции,

(нормали n и n' к основаниям цилиндра, направлены противоположно).
Поэтому 
Заменив, согласно B = m0mH, проекции вектора В проекциями вектора Н, умноженными на m0m, получим, что

Полученный результат связывает нормальные компненты векторов индукции и напряжённости магнитного поля на границах раздела двух сред с разными
.
Аналогичным образом выясним связь касательных составляющих.
Вблизи границы раздела двух магнетиков 1 и 2 построим небольшой замкнутый прямоугольный контур ABCDA длиной l, ориентировав его так, как показано на рисунке слева.
|
|
|
Согласно теореме о циркуляции вектора Н,

(токов проводимости на границе раздела нет).
Откуда

(знаки интегралов по AВ и CD разные, так как пути интегрирования противоположны, а интегралы по участкам BC и DA ничтожно малы).
Поэтому 
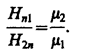
Заменив, согласно В=m0mH, проекции вектора Н проекциями вектора В, деленными на m0m, получим, что

Таким образом, при переходе через границу раздела двух магнетиков нормальная составляющая вектора В (Вn) и тангенциальная составляющая вектора Н (Нt) изменяются непрерывно (не претерпевают скачка), а тангенциальная составляющая вектора В (Bt) и нормальная составляющая вектора Н (Hn) претерпевают скачок.
Примечание. Аналогичные связи для векторов электрического смещения и напряжённости электрического поля на границе раздела двух сред с разными значениями диэлектрической проницаемости были получены в разделе электростатика.
Лекция №13






