Структурная схема САУ в простейшем случае строится из элементарных динамических звеньев. Но несколько элементарных звеньев могут быть заменены одним звеном со сложной передаточной функцией. Для этого существуют правила эквивалентного преобразования структурных схем. Рассмотрим возможные способы преобразований.
Последовательное соединение (рис.43) - выходная величина предшествующего звена подается на вход последующего.

Рис. 43.Последовательное соединение элементов
При этом можно записать:
y1 = W1
yo; y2 = W2
y1;...; yn = Wn
yn - 1 = >
yn = W1
W2.....Wn.yo = Wэкв
yo,
где
.
То есть цепочка последовательно соединенных звеньев преобразуется в эквивалентное звено с передаточной функцией, равной произведению передаточных функций отдельных звеньев.
Параллельно - согласное соединение (рис.44) - на вход каждого звена подается один и тот же сигнал, а выходные сигналы складываются.

Рис. 44 Параллельное соединение элементов
Тогда:
y = y1 + y2 +... + yn = (W1 + W2 +... + W3)yo = Wэкв
yo,
где
.
То есть цепочка звеньев, соединенных параллельно - согласно, преобразуется в звено с передаточной функцией, равной сумме передаточных функций отдельных звеньев.
Параллельно - встречное соединение (рис. 45) - звено охвачено положительной или отрицательной обратной связью.
а)
|
б)
|
Рис. 45 Параллельно-встречное соединение элементов: а) обратная связь с передаточной функцией WОС , б) единичная обратная связь
Участок цепи, по которому сигнал идет в противоположном направлении по отношению к системе в целом (то есть с выхода на вход) называется цепью обратной связи с передаточной функцией Wос. При этом для отрицательной ОС:
y = Wпu; y1 = Wосy; u = yo - y1,
следовательно
y = Wпyo - Wпy1 = Wпyo - WпWocy = >
y(1 + WпWoc) = Wпyo = > y = Wэквyo,
где
.
Аналогично:
- для положительной ОС.
Если Woc = 1, то обратная связь называется единичной (рис.45б), тогда Wэкв = Wп /(1 ± Wп).
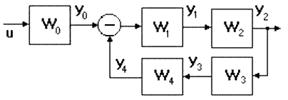
Замкнутую систему называют одноконтурной, если при ее размыкании в какой либо точке получают цепочку из последовательно соединенных элементов (рис.46).
а)
|
б)
|
в)
|
Рис. 46 Преобразование одноконтурной системы: а) исходная система, б) прямая цепь, в) разомкнутая цепь
Участок цепи, состоящий из последовательно соединенных звеньев, соединяющий точку приложения входного сигнала с точкой съема выходного сигнала называется прямой цепью (рис.46б, передаточная функция прямой цепи Wп = Wo
W1
W2). Цепь из последовательно соединенных звеньев, входящих в замкнутый контур называют разомкнутой цепью (рис.46в, передаточная функция разомкнутой цепи Wp = W1
W2
W3
W4). Исходя из приведенных выше способов эквивалентного преобразования структурных схем, одноконтурная система может быть представлена одним звеном с передаточной функцией: Wэкв = Wп/(1 ± Wp ) - передаточная функция одноконтурной замкнутой системы с отрицательной ОС равна передаточной функции прямой цепи, деленной на единицу плюс передаточная функция разомкнутой цепи. Для положительной ОС в знаменателе знак минус. Если сменить точку снятия выходного сигнала, то меняется вид прямой цепи. Так, если считать выходным сигнал y1 на выходе звена W1, то Wp = Wo
W1. Выражение для передаточной функции разомкнутой цепи не зависит от точки снятия выходного сигнала.
ЛЕКЦИЯ 6
а)
б)
а)
б)
в)