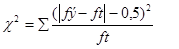
Поправка Йетса на непрерывность
Для четырехклеточных таблиц кросс-табуляции с общим числом испытуемых не более 30 или при сравнении эмпирического распределения из двух значений признака и теоретического равномерного распределения при подсчете c2 требуется вводить поправку Йетса на непрерывность. Поправка заключается в уменьшении взятой по модулю разности между эмпирической и теоретической частотами на 0,5 для каждой клетки таблицы:

Коэффициент многоклеточной сопряженности С-Пирсона есть характеристика силы связи между номинативными переменными. Величина этого коэффициента варьируется в диапазоне от 0 (абсолютное отсутствие связи) до +1 (абсолютная положительная связь). Его формула выглядит следующим образом:

Здесь N – общее количество испытуемых (общая сумма частот в таблице).
Как видно из формулы, для подсчета номинативной корреляции необходимо предварительно вычислить c2эмп. Следует помнить, что коэффициенты сопряженности для двух таблиц с разным количеством полей несопоставимы!
Если таблица имеет всего 2 столбца и 2 строки, то рассчитать корреляцию можно и без вычисления c2. Для этого используют формулу фи-корреляции Пирсона (называется также тетрахорическим показателем связи).
| Студент сдал зачет с первого раза | Студент не сдал зачет с первого раза | |
| Студент посещал все лекции | a | b |
| Студент посещал не все лекции | c | d |

Например:
| Сдал зачет с первого раза | Не сдал зачет с первого раза | ||
| Посещал все лекции | |||
| Посещал не все лекции | |||

Достоверность корреляции определяется по формуле c2 = N * j2
Следующий этап – обращение к таблице критических значений c2 к строке df = 1 (в случае тетрахорической связи степень свободы всегда равна 1):
c2кр (р £ 0,001) =10,8
c2кр (р £ 0,01) = 6,6
c2кр (р £ 0,05) = 3,8
В нашем случае c2эмп = 47 * 0,31 = 4,52. c2эмп > c2кр (р £ 0,05) Þ Н1 ! ст.зн.
Таким образом, на уровне статистической значимости установлена связь между фактами посещения студентом всех занятий и сдачи им зачета с первого раза






