Замыкающие затраты на топливо.
При технико-экономических расчетах любого проекта должно соблюдаться главное требование. Соблюдение локального оптимума к глобальному.
Это требование м.б. соблюдено с применением замыкающих затрат на т-во, которые представляют собой систему взаимосвязанных удельных экономических показателей.
Замыкающими затратами на т-во м.б. только те бассейны, у которых, во-первых технически-возможные размеры добычи превышают экономически оправданный уровень их использования, и во-вторых, т-во м.б. использовано широким кругом потребления.
Тема 6: Потребление э/э и ее производство.
6.1. Динамика потребления э/э и ее структура.
Потребление э/э в РБ на 1991г.- составило 49.2 млрд. кВтч, с 19991 г. – потребление э/э пошло на спад. Мин. пришелся на 1995 г. – 32 млрд./кВтч. На сегодняшний день – около 33 млрд./кВтч. Мах. произведенной собственной энергии выпал на 1999 г. – 39.3 млрд. кВтч. Мин. на 1996 г. – 23.5 млрд. кВтч.
В последние годы, по тепловой мощ-ти набл-ся динамика роста установленной мощ-ти, сегодня это около 56 млн. Гкал.
Сегодня пром-ть потребляет около 63% э/э. Вопрос экономии э/э и теплоэнергии в пром-ти явл-ся актуальной задачей. В силу развитого машиностроительного нефтеперерабатывающего комплекса (энергоемкие). Сегодня перед данными отраслями поставлена задача с экономить при тех же объемах произв-ва до 20% потребляемых энергоресурсов.
Важнейшие показатели энергопотребления в пром-ти:
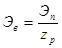
I. электровооруженность.
, где zр. – кол-во рабочих.
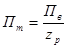
II. Производительность труда.
, где Пв – валовая годовая продукция в валовой или денежной форме.
. Если удельный расход э/э на валовую продукцию больше, чем плановый (нормативный), тогда производительность (фактическая) будем меньше нормативной.
III. Энерговооруженность – полное потребление всех энергоресурсов.
, где
- годовое потребление тепловой энергии, Вг – потребление всего т-ва, переведенное в у.т.,
- ср. годовая численность рабочих.
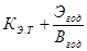
IV. Теплоэнергетический коэф. – он отражает структуру энергоносителей и энергоресурсов.

V. Электротопливный коэф.
.
В больших пром. предприятиях удельный вес электрической и тепловой энергии составляет 5-6% в себестоимости. Для наиболее энергетических может достигать 30%. Основные потери э/э находятся при транспортировке э/э от эл. станции до потребителя и многократной трансформации. Удельный вес в суммарном полезном потреблении энергоресурсов на пром. предприятии:
1. освещение и связь – 1.5 – 12%:
а). в лампах накаливания КПД – 4 – 5%.
б).в энергосбережениях, люминесцентных лампах 12 – 16%. Эффективность перевода обычного освещения на энергосберегающее, оценивается сопоставлением удельных приведенных затрат.

/
2. силовые пр-сы – 24% в пром-ти.
Коэф. электрификации для силовых пр-сов:
, где
- годовое потребление механической и э/э.
3. средне и низкотемпературные пр-сы – 27%.
4. высокотемпературные пр-сы – 43-45%.
5. электрофизические и электрохим. пр-сы – около 4%.
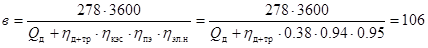
VI. общий коэф. использования энергоресурсов для электропривода:

- КПД передачи э/э,
- КПД электродвигателя,
- КПД добычи и транспортировке,
- КПД генерации э/э.

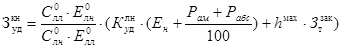
VII. срок окупаемости электромеханизации для предприятия определяется по формуле:
,
Кэм и Кэс – кап. вложения в средства электромеханизации,
- средне годовая з/п высвобождаемых рабочих, Кн – коэф. накладных расходов, э
- годовое потребление э/э, Тээ – тариф на э/э.
Для тепловых пр-сов важным показателем явл-ся удельный расход т-ва на отпускаемую единицу тепла.
При отпуске тепла из котельной:
.
От нагревателя:
кг.у.т/кВтч.






