НАПРЯЖЕНИЕ И ДЕФОРМАЦИЯ СПЛОШНОЙ СРЕДЫ
Упругое твердое тело представляет собой наиболее простую и широко распространенную модель твердого тела. Для таких тел характерно отсутствие остаточной деформации при снятии внешних сил. Здесь Адеф.=Авосстан.
Предположим, что упругое тело находится под действием внешней нагрузки. Для определения напряжений в любой точке тела вырезаем элементарный куб в окрестностях этой точки. Действие отброшенных частей тела заменяем напряжениями на гранях куба, которые разложим по направлениям осей координат.
Напряжения, перпендикулярные граням куба, называются нормальными и обозначаются s, а действующие в плоскости грани - касательными и обозначаются t с соответствующими индексами (рис.1).

Рис.1
Схема компонент напряжений на гранях куба
Из условия равновесия элементарного куба можно записать, что txz=tzx;
tyz=tzy;
txy=tyx.
Таким образом, напряженное состояние в точке описывается шестью компонентами напряжений - sx,sy,sz,txz, tyz, txy.
Можно подобрать ориентацию граней куба так, что
txz=0, tyz, =0, txy=0.
В этом случае соответствующие нормальные напряжения, называемые главными нормальными напряжениями, обозначаются s1,s2,s3, причем s1³ s2 ³s3.
Сумма нормальных напряжений, действующих по трем взаимно перпендикулярным направлениям, есть величина постоянная:
sx+sy+sz = s1+s2 +s3 = 3s0,
где s0 - среднее нормальное напряжение (гидростатическое давление в точке).
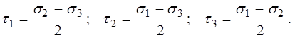
По аналогии с главными нормальными напряжениями, рассматриваются и главные касательные напряжения. Они могут быть определены по формулам:

Деформации растяжения или сжатия принято обозначать e.
Согласно закону Гука величина деформации прямо пропорциональна нормальному напряжению
,
где Е - модуль деформации при растяжении и сжатии (модуль Юнга).
Рассматриваемая же обобщенный закон Гука, можно сделать вывод, что упругое тело характеризуется модулем Юнга и коэффициентом Пуассона и что этот закон справедлив только для изотропного тела, в то время, как чаще приходится иметь дело с анизотропными телами. Это значительно усложняет их математическое описание.
Применительно к горным породам закон Гука соблюдается лишь в области малых деформаций.
Для решения большинства задач механики горных пород рекомендуется исходить из следующих общих положений:
1. Направления главных нормальных напряжений и главных деформаций удлинения совпадают.
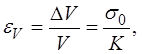
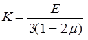
2. Объемная деформация пропорциональна среднему номинальному напряжению и описывается уравнением

где
- начальный объем элементарного куба;
- изменение объема элементарного куба под действием внешней нагрузки;
K - модуль объемной деформации;
,
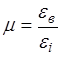
где
- коэффициент Пуассона
,
где
- относительная поперечная деформация;
- относительная продольная деформация.
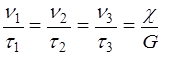
3. Главные касательные напряжения пропорциональны главным деформациям сдвига
,
где
- модуль пластичности;
модуль G - деформации при сдвиге в пределах пропорциональности.






