ВЛИЯНИЕ ЗАБОЙНЫХ ФАКТОРОВ НА МЕХАНИЧЕСКИЕ
Лекция №3
Исследование влияния забойных факторов на механические свойства горных пород необходимо особенно для условий глубокого бурения, когда с ростом глубины скважины резко снижается эффективность разрушения пород.
Механические свойства горных пород в большей степени зависят от их геолого-петрографической характеристики, т. е. минерального состава, структуры, текстуры.
Установлено, что из структурных признаков на механические свойства горных пород оказывают большое влияние размер зерен, тип и состав цемента, пиритизация (наличие пирита), доломитизация, окремнение и перекристаллизация, а из текстурных признаков,как уже отмечалось) - слоистость, пористость, кавернозность и трещиноватость.
Чем меньше размеры зерен (кристаллов), перекристаллизация породы, ее слоистость, пористость, кавернозность, трещиноватость и чем выше пиритизация, доломитизация и окремнение породы, тем выше ее прочностные свойства.
Горные породы с регенерационным цементом и с цементом базального типа прочнее породы с наличием контактного цемента и цемента механического заполнения пор.
Прочность горных пород возрастает также с увеличением содержания кварца, карбонатности и плотности.
С ростом плотности и карбонатности пород увеличиваются модули упругости, сдвига и всестороннего сжатия, и уменьшаются с увеличением пористости.
С уменьшением карбонатности и увеличением пористости, а также с увеличением содержания пелитовых частиц в породе коэффициент пластичности К возрастает.
Уменьшение пористости, размера зерен, пиритизация и окремнение способствуют повышению удельной объемной работы деформации А0.
(Рядом исследователей найдены аналитические зависимости между некоторыми показателями механических свойств горных пород и отдельными структурными и текстурными признаками).
Ф. А. Аксеров установил зависимость твердости Рш, предела текучести Р0, коэффициента пластичности К и модуля Юнга от плотности пород r.

С учетом карбонатности пород Рш, Р0 и Е выражаются формулой:
,
где П - один из показателей механических свойств,
а1,а2 - коэффициенты, зависящие от карбонатности пород (различные для Рш, Р0 и Е).
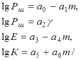
По И. С. Финогенову, для глинисто-карбонатных пород Рш, Е и К в зависимости от пористости m и объемного веса породы g описываются уравнениями вида:

где а0, а1, а2, а3, а4, а5 и а6 - коэффициенты, зависящие от минералогического состава породы и имеющие следующие значения:
а0 = 4,1 ¸ 4,5; а1 = 0,04 ¸ 0,06; а2 = 1,5 ¸ 1,7;
а3 = 4,46 ¸ 4,95; а4 = 0,026 ¸ 0,034; а5 = 0,11 ¸ 0,59;
а6 = 0,033 ¸ 0,066.
В. В. Ржевский и Г.Я. Новик приводят корреляционные связи между объемным весом g, пористостью m, модулем Юнга Е и прочностью при одноосном сжатии sсх для твердых пород:
Е = (7,2g - 13,05) 105;
Е = (7,85 - 0,29m) 105;
sсж = 0,01s0сж(100 - m).
Где s0сж - предел прочности на сжатие минерального скелета породы.
Существует много других зависимостей, дающих приближенное представление о механических свойствах горных пород. Все эти данные используются для расчета ориентировочных величин осевых нагрузок, обеспечивающих объемное разрушение и механических скоростей проходок.






