Механические испытания горных пород при одноосном растяжении очень трудоемки из-за сложности оборудования и специальной подготовки образца. Такие испытания проводятся значительно реже, чем одноосное сжатие, изгиб и сдвиг. Исследование пород на одноосное растяжение может производиться прямым растяжением цилиндрических образцов со специально обработанными торцами (заливка торцов сплавом Вуда). Однако, большое распространение получили косвенные методы определения прочности горных пород на растяжение. Одним из методов такого испытания является метод раздавливания цилиндрических образцов равномерно распределенной нагрузкой, прикладываемой к диаметрально расположенным образующим (этот метод известен под названием «бразильский»).
Рис.14
| Схема испытания приведена на рис.14.
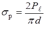
Предел прочности на растяжение можно определить по формуле Герца:
,
где - нагрузка на единицу длины образца. При таком нагружении мы имеем дело со сложным напряженным состоянием образца горной породы.
|
Одна из причин заключается в том, что плиты за счет трения влияют на поведение деформируемого тела.
|
|
|
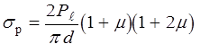
С учетом этого предел прочности на растяжение можно определить по формуле, предложенной Ягодкиным Г. И. и др.
.
Коэффициент Пуассона для хрупких пород измеряется в пределах m = 0,1 - 0,25. Учитывая это, предел прочности горных пород на растяжение можно определить по упрощенной формуле
,
с ошибкой, не превышающей 20 %. Учитывая то, что коэффициент Пуассона определяется с низкой точностью, то ошибка определения sр в этом пределе вполне допустима.
Рис.14
,
где
- нагрузка на единицу длины образца. При таком нагружении мы имеем дело со сложным напряженным состоянием образца горной породы.






