Сдвиг.
Изгиб.
Лекция № 5
При определении прочности горных пород и минералов на изгиб испытанию подвергаются цилиндрические и прямоугольные образцы. Для исключения влияния поперечных усилий длина испытуемых образцов по отношению к высоте сечения h должна быть больше 8 (т. е.
).
Испытания на изгиб производятся по одной из схем, показанных на рис.15.

а б в
изгиб консоли четырехточечная схема трехточечная схема
Рис.15
Прочность на изгиб можно определить по формуле
,
где М - максимальный изгибающий момент при испытании до разрушения;
W - момент сопротивления сечения изгибу.
Мы приняли для испытания на изгиб два вида образцов - цилиндрический и прямоугольный.
Момент сопротивления прямоугольного сечения изгибу определяется следующим образом:
,
h - ширина сечения.
Для цилиндрического образца породы диаметром d момент сопротивления изгибу можно определить по формуле:
,
Если мы в процессе испытаний на изгиб будем регистрировать изменение нагрузки и соответствующие перемещения точки приложения этой нагрузки, то можно будет определить и модуль деформации при изгибе Еи.
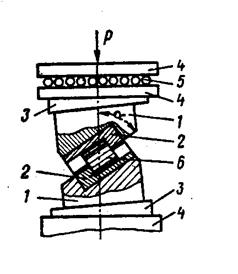
Изучение механических свойств горных пород при сдвиге можно осуществить в процессе испытания образцов на срез и кручение. Наиболее распространенным методом испытания пород на сдвиг является метод определения прочности на срез со сжатием. (На рис.16 приведена схема экспериментальной установки, позволяющей осуществить такие исследования).
Рис.16 | 1 - матрицы 2 - клинья 3 - плиты 4 - ролики 5 - образец породы Условия испытания следующие: образец для испытания должен быть диаметром d= 42 ± 0,1 мм высотой h = 42 ± 2,5 мм . Параллельность, выпуклость торцов, а также их перпендикулярность к образующей цилиндра должна быть не больше 0,05 мм. |
Матрицы выполняются с наклоном среза 30, 45 и 600, а клинья - 50. Это позволяет испытывать образцы в пределах от 25 до 650 через каждые 50 в зависимости от компоновки деталей установки.
Получив величину нагрузки Р, при которой образец разрушается по плоскости среза, определяют нормальное напряжение по этой плоскости по формуле:
,
где Р - максимальная нагрузка;
F - площадь среза;
a - угол наклона плоскости среза к линии действия силы Р.
Сопротивление срезу при данном нормальном напряжении определяется по формуле:
,
Испытания на срез ведутся как минимум при двух значениях угла a% 30 и 500. Затем путем экстраполяций получают значение при s = 0. Эта величина tс и принимается как показатель механических свойств исследуемого образца. Вследствие неоднородности горных
| пород при малом количестве экспериментов могут иметь место случайные ошибки в определении сопротивления сдвигу tс. Для исключения грубых ошибок и получения более точного значения tс необходимо увеличивать количество опытов. | Рис.17 |
Прочность горных пород определяется силами сцепления внутри зерен кристаллов, слагающих породу и силами сцепления между ними.
Под прочностными характеристиками горных пород чаще всего понимают значения их временного сопротивления в процессе одноосного сжатия, растяжения, сгиба и сдвига.
Установлено, что на прочность горных пород влияют не только их минералогический состав, но и ряд других факторов, в частности, структура и текстура породы, глубина залегания и др.
Исследования показывают, что прочность при одноосном сжатии значительно повышает прочность на изгиб и растяжение.
Таблица
| Горная порода | Относительная прочность, % | |||
| сжатие | сдвиг | изгиб | растяже- ние | |
| Граниты | 2-4 | |||
| Песчаники | 10-12 | 6-20 | 2-5 | |
| Известняки | 8-10 | 4-10 |
В таблице приведена относительная прочность некоторых горных пород при различных видах испытаний.
Исследования горных пород при простых видах деформации показывают, что наибольшее сопротивление горные породы оказывают в случае сжатия, а при других видах деформации их прочность значительно ниже, что позволяет записать следующее равенство:
sсж >> iс ³ sм ³ sр,
Отсюда можно сделать вывод, что разрушение горной породы наиболее выгодно осуществлять растяжением. При конструировании породоразрушающего инструмента необходимо всегда помнить об этом и всячески использовать этот фактор, способствующий снижению энергоемкости разрушения пород.
Следует также отметить, что использование классических теорий прочности для количественных решений механики горных пород невозможно в связи с тем, что sсж >> sр.
Зависимость прочностных и упругих характеристик от большого числа технических и природных факторов также не позволяют применение классических теорий прочности.
Рис.16
Рис.17