Твердость минералов
Часто понятие твердость подменяют понятием прочность материала. На самом деле это ошибка. Под прочностью следует понимать сопротивление твердых тел механическому разрушению при различных видах деформаций (например, прочность на растяжение, сжатие и т. д.).
Под твердостью же следует понимать сопротивление, оказываемое телом проникновению в него другого тела, т. е. твердость есть прочность на вдавливание с соответствующим данному виду деформации характером напряженного состояния.
Способность одного тела оказывать сопротивление проникновению в него другого тела называется твердостью.
Шкала твердости Мооса, построенная по этому принципу, широко применяется в минералогии.
Физически более строгое толкование твердости было дано Герцем. За меру твердости Герц принимал величину удельного давления в момент достижения предельного состояния в центре вдавливаемой поверхности.
В наше время нашли широкое распространение измерения твердости, основанные на вдавливании в поверхность исследуемого образца породы более твердого стандартного наконечника.
|
|
|
Установлено, что при вдавливании в хрупкие тела заостренных наконечников с большими углами заострения под очень малыми нагрузками на поверхности этих тел образуются микроотпечатки без следов хрупкого разрушения их границ. Этот метод получил название метод микротвердости.
При определении микротвердости вдавливаемым наконечником является алмазная пирамида. Эта пирамида может быть следующего вида (рис.18):

Квадратная пирамида Ромбическая пирамида
Винкерса Кнуппа
Рис.18
Микротвердость измеряется с помощью прибора ПМТ-2 и ПМТ-3 (с общим видом прибора мы уже знакомы). Прибор состоит из микроскопа с окулярным микрометром, осветителя и механизма вдавливания алмазной пирамиды.
Измерение микротвердости производится следующим образом:
1. Образец породы устанавливается на предметный столик микроскопа под объективом.
2. Предметный столик разворачивается на 1800 под механизм нагружения пирамиды.
3. Вдавливается пирамида под заданной нагрузкой в течение 5 - 10 сек.
4. Предметный столик разворачивается на 1800. Образец попадает опять под объектив микроскопа. Проводится измерение диагонали отпечатка.
В зависимости от ожидаемой твердости подбирается нагрузка вдавливания от 2 до 200 гр. В комплекте прибора имеются специальные грузы массой 2, 5, 10, 20, 50, 100 и 200 гр.
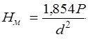
При испытании горных пород на твердость (микротвердость) по методу вдавливания пирамиды твердость определится по формуле:
,
где Р - нагрузка;
F - боковая поверхность отпечатка.
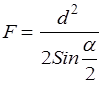
В свою очередь
,
где d - диагональ отпечатка в мм;
a - угол при вершине пирамиды, равный 1360.
Тогда в окончательном виде формула будет иметь вид:
.
Для точности измерения, как правило, делают не менее трех отпечатков.






