Основные факторы, определяющие напряженное
НАПРЯЖЕННОЕ СОСТОЯНИЕ ГОРНЫХ ПОРОД В ЗЕМНОЙ КОРЕ
Лекция №6
Давление вышележащих пород и тектонические процессы, протекающие в земной коре, оказывают значительное влияние на напряженное состояние горных пород.
Поэтому сведения об упругих и прочностных свойствах горных пород, определяемых при простых видах деформации, только в некоторых случаях могут быть применимы к условиям разрушения пород в процессе бурения скважин.
В реальных условиях разрушаемые во время бурения горные породы находятся в более сложном, чем при простых видах деформации, напряженном состоянии. Поэтому изучение механических свойств пород в условиях сложного всестороннего сжатия имеет большое практическое значение.
Исследование поведения горных пород в условиях всестороннего сжатия проводится с помощью приборов или установок, рассчитанных на высокие давления. Такие приборы состоят из цилиндра или «бомбы», внутри которых размещается исследуемый образец горной породы в виде или керна или прямоугольной призмы. Всестороннее давление на образец создается жидкостью, нагнетаемой в цилиндр или «бомбу».
При отсутствии тектонических движений на участке земной коры напряженное состояние горных пород осесемметрично относительно вертикали. Это позволяет охарактеризовать напряженное состояние горных пород двумя величинами в цилиндрической системе координат:
sz = sз и sz = =s1 = s2
Вертикальные напряжения sz зависят от веса вышележащих пород, поэтому можно записать:
sz = - gz,
где g - средняя плотность вышележащих пород;
z - глубина залегания пород.
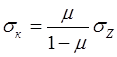
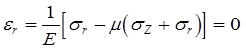
В процессе сжатия вертикальным давлением горные породы в поперечном направлении деформируются не свободно. В этом случае имеет место равенство:
.
Отсюда получим:
.
Подставив значение sz, получим формулу для упругого напряженного состояния горных пород:
.
В общем случае эта формула будет иметь вид:
.
Величина l называется коэффициентом бокового распора.
Если учесть явление релаксации, т. е. выравнивание напряжения в земной коре, то l ® 1.
В большинстве случаев можно принять, что l = 1 и sz = sr.
Это условие равномерного всестороннего сжатия. Напряженное состояние в этом случае будет характеризоваться средним нормальным напряжением: s0 = sz = sr,
Естественное напряжение в земной коре принято называть горным давлением.
Вертикальную составляющую горного давления sz называют геостатическим или полным горным давлением, а горизонтальную составляющую sr - боковым давлением.
Горные породы, обладающие той или иной пористостью, всегда насыщены жидкостью или газом. Давление поровой жидкости принято называть пластовым давлением.
В нормальных условиях пластовое давление (Р) приблизительно равно гидростатическому давлению воды, т. е. Р = gвz,
Однако, возможность встречи с аномально высоким пластовым давлением с глубиной залегания увеличивается, особенно в районах активной тектонической деятельности.
Каким же образом давление жидкости в порах влияет на напряженное состояние горной породы?
За идеальную модель пористого тела прием тело с круглыми отверстиями. Вырежем единичный элемент в виде, представленном на рисунке. Сверху на эту элементарную площадь действует геостатическое давление
Рг = gz,
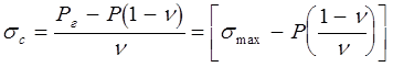
Если бы все вертикальное давление воспринималось скелетом породы, то напряжение в скелете в сечении 1-1 было бы максимальным и равным
,
где Рг - горное давление;
n Р - пластовое давление;
n - часть единичной площади, занимаемой скелетом в сечении 1-1.
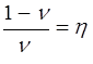
Учитывая то, что поровая жидкость воспринимает на себя часть нагрузки, равной Р(1 - n), то напряжение в скелете породы будет выражаться формулой
. Если обозначить , тогда можно записать: . Совершенно очевидно, что h зависит от пористости и структуры порового пространства. | Рис.19 Модель пористой породы |
Из последней формулы можно сделать вывод, что с увеличением пластового давления Р наблюдается уменьшение вертикальной нагрузки на скелет. В случае, если Р = Рг, то
sс = - Рг,
где Рг - геостатическое или полное горное давление.
Следовательно, по мере приближения пластового давления Р к геостатическому напряженное состояние скелета стремится к равномерному всестороннему сжатию.
. Если обозначить
, тогда можно записать:
. Совершенно очевидно, что h зависит от пористости и структуры порового пространства.
Рис.19 Модель пористой породы