Если среда способна намагничиваться в магнитном поле, т.е. создавать собственное магнитное поле, то такая среда называется магнетиком. В самом деле, если ненамагниченный магнетик поместить в магнитное поле с индукцией
, то он намагничивается и дает добавочную индукцию поля
´, которая векторно складывается с первоначальной индукцией
, т.е.
´.
Векторная сумма
называется вектором магнитной индукции внутри магнетика.
Вещества, для которых
´ совпадает по направлению с
, называются парамагнетиками. Внутри парамагнетиков магнитное поле усиливаются.
Вещества, для которых
´ и
противоположны по направлению, называются диамагнетиками. Магнитное поле внутри диамагнетиков ослабляются. Для парамагнетиков (алюминий, платина и др.) магнитная проницаемость µ>1. Для диамагнетиков (медь, поваренная соль и др.) µ<1.
Наряду с пара- и диамагнетиками существуют ферромагнетики (железо, никель, кобальт и др.), для которых µ>>1, т.е. они способны сильно намагничиваться.
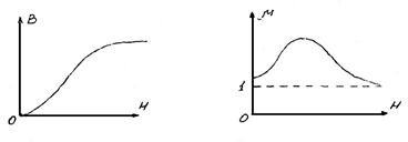
Для пара- и диамагнетиков зависимость между
и
линейная, так как µ=const. Для ферромагнетиков эта зависимость носит нелинейный характер (рис.32), потому что µ≠const, а зависит от Н, т.е. µ=ƒ(Н) (рис.33).
|
|
|

Рис. 32 Рис. 33
Характерной особенностью ферромагнетиков является гистерезис. Явление гистерезиса заключается в том, что магнитная индукция В зависит не только от мгновенного значения Н, но и от того, какова была напряженность поля раньше. При этом происходит отставание изменения индукции В при изменении Н. Если ненамагниченный ферромагнетик поместить в магнитное поле, которое увеличивается от нуля, то зависимость В от Н (кривая намагничивания) выразится кривой Oa (рис.34). Точка «a» на рис. 34 соответствует магнитному насыщению.
Рис.34
Если же затем уменьшить Н до 0, то кривая намагничивания не совпадает с Oa, а пойдет по кривой ав. В результате, когда Н станет равной нулю, намагничивание не исчезнет, и будет характеризоваться величиной Ве, которая называется остаточной индукцией (отрезок «ов»). Намагничивание обращается в нуль (точка С) лишь под действием поля с напряженностью Нс (отрезок ос), имеющего направление, противоположное полю, вызывающему намагничивание. Напряженность магнитного поля Нс называется коэрцетивной силой.
При воздействии переменного магнитного поля напряженностью Н индукция В ферромагнетика меняется в соответствии с кривой авсаа′в′с′а (рис3.4), которая называется петлей гистерезиса. Петля гистерезиса может быть объяснена наличием в ферромагнетиках отдельных областей самопроизвольного намагничивания, называемых доменами.
Если максимальные значения напряженности поля Н таковы, что намагничивание достигает насыщения, получается так называемая максимальная петля гистерезиса (обозначена сплошной линией на рис.33). Если при максимальных значениях Н насыщение не достигается, получается петля, называемая частным циклом (обозначена пунктирной линией на рис. 33).
|
|
|
Ферромагнетики различают по величине коэрцетивной силы. Если она находится в пределах (0,02-0,05) А/м, то это магнитомягкий ферромагнетик. Такие материалы используются на переменном токе. Если же пределы коэрцетивной силы лежат в области (20-30) кА/м, то это магнитотвердые ферромагнетики и они применяются для производства постоянных магнитов






