Необходимо различать опыт короткого замыкания и режим короткого замыкания, так как в последнем случае имеет место аварийный режим электрического трансформатора, при котором он сильно разогревается и может произойти сгорание трансформатора.
Опыт короткого замыкания - испытание электрического трансформатора при короткозамкнутой цепи вторичной обмотки и номинальном токе в первичной обмотке
I1к=I1н.
Этот опыт проводится при аттестации электрического трансформатора для определения важнейших параметров:
- мощности потерь в проводах обмоток (потери в меди) PМ;
- внутреннего падения напряжения;
- коэффициента трансформации и др.
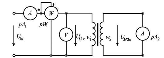
Опыт короткого замыкания (рис. 43), как и опыт холостого хода, обязателен при заводских испытаниях.

Рис.43. Схема опыта короткого замыкания трансформатора
В опыте короткого замыкания (U2 = 0) напряжение UM2к, индуктируемое во второй обмотке равно
Uv2k = I2к • r2 +j xS2 • I2к,
где I2к • r2 - напряжение на резистивном сопротивлении вторичной обмотки; xS2 • I2к - напряжение на индуктивном сопротивлении рассеяния вторичной обмотки.
Напряжение первичной обмотки в опыте короткого замыкания U1к при токе I1к = I1н составляет 5-10 % от номинального U1н. Поэтому действующее значение напряжения индукции UM2к составляет лишь 2-5 % от действующего значения UM2 в рабочем (номинальном) режиме.
Пропорционально значению UM2 уменьшается магнитный поток Ф0 в магнитопроводе, а вместе с ним и мощность потерь в магнитопроводе Pс, пропорциональная Ф0.
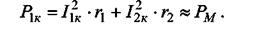
Следовательно, в опыте короткого замыкания почти вся мощность трансформатора P1к равна мощности потерь в проводах первичной и вторичной обмоток (потери в меди):

Значение этой мощности определяется по показаниям ваттметра рW1 (рис.43). I1к и I2к - токи в опыте короткого замыкания соответствующих обмоток трансформатора, определяемые по показаниям амперметров рА1 и рА2.