Принцип действия электрического трансформатора
Действие трансформатора основано на явлении электромагнитной индукции.
При подаче от источника электрической энергии напряжения u1(рис. 39)на первичную обмотку электрического трансформатора в ней возникает ток i1, возбуждающий в магнитопроводе переменный магнитный поток Ф1, который, пронизывая витки w1 первичной обмотки, создает в ней напряжение uL1 в результате явления самоиндукции.
Согласно закону электромагнитной индукции это напряжение определяется по формуле
uL1 = L dФ1 /dt.
Если Ф1 = Фm1 sin ωt, то dФ/dt = w • Фm1 cos ωt = w Фm1 sin(ωt + 90°). Следовательно
uL =UmL1sin(ωt + 90°),
Ток i1x также называют намагничивающим, так как он определяет значение результирующего магнитного потока Ф0.
В связи с вышеизложенным, следует, что результирующий (суммарный) магнитный поток в магнитопроводе электрического трансформатора в режиме нагрузки приблизительно равен магнитному потоку первичной обмотки трансформатора в режиме холостого хода.
Режим холостого хода - такой режим работы электрического трансформатора, при котором его вторичная цепь разомкнута, и ток в ней равен нулю (i2 = 0).
Под действием приложенного напряжения u1по первичной обмотке протекает ток i1x, возбуждающий в магнитопроводе магнитное поле Ф0.
Большая часть магнитного потока замыкается в магнитопроводе. Однако небольшая часть этого потока замыкается вокруг витков только первичной обмотки, образуя поток рассеяния ФS, и не индуктирует напряжение взаимоиндукции uM2 во вторичной обмотке.
В первичной обмотке Ф0 индуктирует напряжение
uS1 = 2πfLS1I1x = хLS1 • I1x,
где LS1 - индуктивность рассеяния первичной обмотки трансформатора;
xls1 – индуктивное сопротивление рассеяния этой обмотки. Кроме того, первичная обмотка обладает резистивным сопротивлением r1. На рис. 40 представлена схема замещения электрического трансформатора с учетом резистивных сопротивлений r1 и r2 первичной и вторичной обмоток и их индуктивностей рассеяния LS1 и LS2.
Составим уравнение для первичной цепи по II закону Кирхгофа в комплексной форме
Ů1 = İ1х r1 + İjx1S + Ů1L, (1)
чему соответствует векторная диаграмма напряжений и токов на рис.41
Рис. 40- Схема замещения трансформатора в режиме холостого хода
|
Опытом холостого хода называется испытание электрического трансформатора при разомкнутой цепи вторичной обмотки и номинальном, приложенном к первичной обмотке, напряжении U1x = U1н
|
Ů 1L
Рис.41. Векторная диаграмма напряжений и тока трансформатора в режиме холостого хода
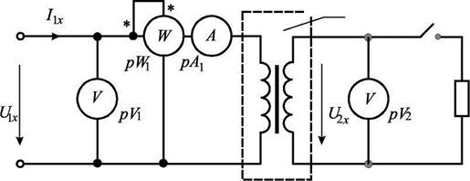
Для проведения опыта холостого хода собирается электрическая цепь согласно схеме рис.42.
При U1x =U1н ток I1x составляет 3… 10 % от номинального первичного тока I1н. Следовательно, в формуле (1) слагаемыми ULS1 = jxS1 Ilx и Ur1 = r1 • I1x можно пренебречь. Тогда имеем:
U1x = U.L1
При разомкнутой цепи вторичной обмотки
U2x = U M2,
|
Рис. 42 - Схема опыта холостого хода трансформатора
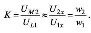
поэтому, измерив вольтметром PV1 первичное напряжение U1x и вольтметром PV2 - вторичное напряжение U2x, определяют коэффициент трансформации
|
(
Этот коэффициент указывается на щитках электрических трансформаторов как отношение высшего напряжения к низшему (например, K = 6000/230).
При холостом ходе 1\х«1\н и мощность потерь в проводах первичной обмотки (потери в меди) PМ1 мала по сравнению с потерями в стали Pс. Поэтому в опыте холостого хода по показаниям ваттметра pW определяют мощность потерь в магнитопроводе.
Рис. 40- Схема замещения трансформатора в режиме холостого хода






