Закон Фурье. В отличие от градиента температуры, направленного в сторону ее возрастания, тепло переносится в сторону убывания температуры

В отличие от градиента температуры, направленного в сторону ее возрастания, тепло переносится в сторону убывания температуры. Векторы эти направлены в противоположные стороны. Количество тепла, переносимого через какую-нибудь поверхность в единицу времени, называется тепловым потоком Q, Вт. Тепловой поток, проходящий через единицу поверхности (отнесенный к единице поверхности), называется удельным тепловым потоком q, Вт/м2 или плотностью теплового потока. Кроме этих двух терминов применяются равноценные им названия: тепловая нагрузка одного квадратного метра теплоообменной поверхности, удельная тепловая нагрузка.

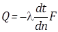
Процесс теплопроводности в твердом теле, возникающий из-за разности температур, достаточно экспериментально изучен. При этом Фурье было установлено, что количество передаваемого тепла пропорционально изменению температуры и площади сечения, перпендикулярного направлению потока тепла:

, Вт, (12.3)

где l — коэффициент пропорциональности, Вт/(м·К);

F — площадь сечения, через которое идет поток тепла, м2.

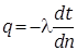
Если количество переданного тепла отнести к единице площади, то выражение (12.3) примет вид

, Вт/м2, (12.4)

где q — удельный тепловой поток, Вт/м2.





Подборка статей по вашей теме: