В производственной практике однослойных стенок практически нет. Даже однослойная поверхность водогрейной трубы в котле с одной стороны покрыта сажей, с другой — накипью. Любая технологическая, строительная или отопительная конструкция имеет несколько слоев — загрязнения, масло, накипь, краска, штукатурка... Многослойными называются стенки, состоящие из нескольких разных, но однородных слоев.
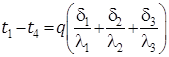
Рассмотрим трехслойную стенку (рис. 12.2), состоящую из трех плотно прилегающих друг к другу слоёв с толщинами d1, d2, d3. Каждый слой характеризуется своей постоянной теплопроводностью l1, l2 и l3 соответственно. Известны также температуры наружных поверхностей t1 и t4. Тепловой контакт между слоями — идеальный, без зазоров и соответственно без воздушных прослоек, температуры в местах контакта слоев обозначаем t2 и t3.
Рис. 12.2. Трёхслойная цилиндрическая стенка
|
Так как температуры наружных поверхностей постоянны, тепловой поток — установившийся, и соответственно, количество теплоты проходящее в единицу времени — неизменно. При стационарном режиме удельный тепловой поток q постоянен и для всех слоев одинаков. Поэтому можно записать для каждого из слоев:
|
|
|
;
;
.
Из приведенных выражений легко определить значения локальных разностей температур на границах каждого слоя:
(12.13)
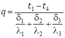
Складывая почленно левые и правые части уравнений получим
. (12.14)
Откуда
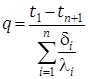
. (12.15)
Уравнение (12.15) — расчетная формула теплопроводности трехслойной стенки. По аналогии, для стенки, имеющей n слоев, можно записать
. (12.16)
Здесь t1 и tn+1 — температуры на наружных поверхностях n-слойной стенки;
— общее термическое сопротивление многослойной стенки, равное сумме частных термических сопротивлений всех слоев.
При условии, что коэффициент теплопроводности каждого слоя — величина постоянная, температура внутри каждого слоя изменяется по прямой, но в целом, для многослойной стенки она — ломаная линия.
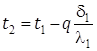
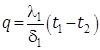
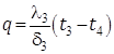
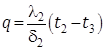
Температуры на стыке слоев t2 и t3 можно определить из системы уравнений (12.13)
, (12.17)
. (12.18)
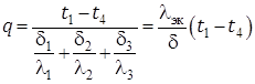
Иногда многослойную стенку рассчитывают как однослойную толщиной d = d1 + d2 + d3. При этом, в расчет вводится эквивалентный коэффициент теплопроводности lэк, который определяется из условия:
, (12.19)
отсюда
. (12.20)
При выводе расчетной формулы для многослойной стенки (12.16) предполагалась, что слои плотно прилегают друг к другу и благодаря идеальному тепловому контакту соприкасающиеся поверхности имеют одинаковую температуру. При шероховатой поверхности между слоями возникают воздушные зазоры. А так как теплопроводность воздуха в нормальных условиях l = 0,025 Вт/(м·К), то наличие даже очень тонких воздушных прослоек резко ухудшает теплопроводность конструкции.
|
|
|
Рис. 12.2. Трёхслойная цилиндрическая стенка






