Отсутствие последействия в данном случае означает, что вероятность завершения обслуживания заявки в любой момент времени не зависит от того, сколько времени оно уже продолжалось.
В зависимости от числа обслуживающих приборов и характера взаимосвязи между ними в процессе обслуживания заявок различают одноканальные и многоканальные, однофазные и многофазные системы.
Обобщенная схема однофазной многоканальной СМО изображена на рис. 6.1,

Рис. 6.1. Обобщенная схема однофазной многоканально СМО
где сплошной стрелкой показан входящий поток, кружками – заявки, ожидающие обслуживания в очереди, а штриховыми стрелками – возможные пути движения заявок. В этой системе все обслуживающие приборы (П 1, П 2., ..., Пn.) выполняют однородные операции обслуживания и работают параллельно. Заявка считается обслуженной системой, если она обслужена одним из ее приборов.
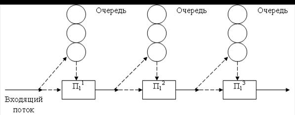
Если обслуживание заявки должно осуществляться последовательно несколькими приборами, то такие системы называются многофазными. Схема одноканальной многофазной (трехфазной) СМО изображена на рис. 6.2. Заявка считается обслуженной системой, если она прошла все фазы обслуживания. Типичными примерами многофазных СМО являются технологические потоки сборки (ремонта) приборов, агрегатов или машин.
|
|
|
Дисциплина обслуживания – это совокупность правил поведения заявки от момента ее поступления в систему до момента прекращения обслуживания. К основным правилам обслуживания относятся: выбор свободного прибора, назначение очередной заявки на обслуживание и дисциплина очереди.
Выбор свободного прибора может осуществляться:
– случайным образом (например, с равной вероятностью);
– в порядке нумерации (наибольший или наименьший номер);
– в зависимости от времени нахождения прибора в состоянии «свободен» (наименьшее или наибольшее время).
В основе правил назначения очередной заявки на обслуживание лежит или фактическое время ожидания, или остающаяся часть времени ожидания. Частными случаями.являются:
– равновероятное поступление на обслуживание любой заявки из очереди;
– строгая очередность – заявки к обслуживанию назначаются в порядке поступления;
– обратная очередность – «последним пришел – первым обслуживается».

Рис. 6.2. Схема одноканальной многофазной (трехфазной) СМО
Иногда назначение на обслуживание происходит по некоторой системе приоритетов (пенсионеры обслуживаются в первую очередь).
Дисциплина очереди определяет, в каких случаях заявка становится в очередь и когда она покидает систему, и задается в виде ограничений, накладываемых на параметры СМО: длина очереди (максимально допустимое число заявок в очереди т), время ожидания заявки в очереди tож или время пребывания заявки в системе tc (tc = tож+tобсл).
|
|
|
Ограничение времени ожидания (пребывания) означает, что заявка может ожидать обслуживания (находиться в СМО) какое-то время, не превышающее некоторой случайной величины tож (tс).
Эти ограничения определяют поток заявок, уходящих из очереди (системы) необслуженными. Обычно предполагают, что этот поток – простейший поток событий интенсивности
,
где
– среднее допустимое время ожидания (пребывания). Следует подчеркнуть, что дисциплина очереди не является чем-то внешним по отношению к заявкам. Наоборот, чаще всего указанные ограничения определяются характером заявок.
В зависимости от совокупности ограничений, накладываемых на параметры СМО, различают:
– СМО с отказами – образование очереди не допускается; заявка, заставшая все приборы занятыми, покидает систему;
– чистая СМО с ожиданием – любая заявка, поступившая в систему, будет рано или поздно обслужена (на параметры СМО ограничения не накладываются);
– смешанные СМО – накладывается ограничение на один из параметров: т – СМО с конечной очередью; tож (tс) – СМО с ограниченным временем ожидания (пребывания) или одновременно на параметры т и tож (tс).
Главная задача исследования СМО – установление связи между параметрами системы (n – число каналов, m, l, m, v) и показателями ее эффективности.
Для решения этой задачи прежде всего необходимо построить математическую модель системы.






