Это отношение процентного изменения спроса на один товар к процентному изменению цены на какой-либо другой товар. Положительное значение величины означает, что эти товары являются взаимозаменяемыми (субститутами), отрицательное значение показывает, что они взаимодополняющие (комплементы)
Эластичность спроса по доходу показывает, на сколько процентов изменится величина спроса при изменении дохода на 1 %. Она зависит от следующих факторов:
· Значимость товара для бюджета семьи.
· Является ли товар предметом роскоши или предметом первой необходимости.
· Консерватизм во вкусах.
Измерив эластичность спроса по доходу, можно определить, относится ли данный товар к категории нормальных или малоценных. Основная масса потребляемых товаров относится к категории нормальных. С ростом доходов мы больше покупаем одежду, обувь, высококачественные продукты питания, товары длительного пользования. Есть товары, спрос на которые обратно пропорционален доходам потребителей. К ним относятся: вся продукция секонд-хенд и некоторые виды продовольствия(дешевая колбаса, приправа).
Под эластичностью предложения понимают меру того, насколько сильно объем предложения реагирует на изменение воздействующих на него параметров рынка. Выше говорилось, от чего зависит объем предложения. Как и в случае спроса, наиболее сильное воздействие оказывает цена продукта. Ценовой эластичностью предложения называют степень реакции объема предложения на изменение цены при прочих равных условиях. Ее определяют по следующей формуле:

Предложение называют неэластичным, если е < 1, т. е., когда изменение цены, исчисляемое в процентах, вызывает меньшее по величине изменение объема предложения, также исчисляемое в процентах. И, наоборот, предложение считают эластичным, если е > 1. Во втором случае процентное изменение предложения превышает процентное изменение цены.
В случае если объем поставок имеет одно и то же значение 0q1 при любой цене (рис. 3.36, а), предложение считается совершенно неэластичным (е = 0). Оно будет существовать даже, если цена нулевая. Суммарное предложение земли на Земном шаре может рассматриваться как совершенно неэластичное
В экономике существует также понятие совершенно эластичного предложения (е = оо). Оно относится к тому случаю, когда объем предложения может быть любым при некоторой фиксированной цене, скажем, 0рд и равен нулю при всех других ценах. На рис. 3.36, б показана линия предложения при совершенной эластичности
Хотя оба рассмотренные выше случая теоретически возможны, вероятность встречи с ними на практике крайне мала.
Если процентное изменение предложения равно процентному изменению цены (es — 1), эластичность называют унитарной. На рис. 3.37 приведена линия предложения, соответствующая унитарной эластичности. Легко убедиться, что любая прямая линия, выходящая из начала координат этой плоскости, соответствует унитарной эластичности.
ОТРЕБИТЕЛЬСКИЙ ВЫБОР [consumer choice] — решение потребителя о приобретении или каком-либо способе потребления некоторого блага (товара или услуги). Многие экономисты не разделяют понятий П. в. и предпочтения, поскольку полагают, что фактическое решение потребителя однозначно выявляет и его предпочтение. Иначе говоря, что мы предпочитаем, то реально и выбираем, делая свои приобретения. Однако это неверно, напр., в условиях дефицита тех или иных товаров: П. в., вынужденный тем, что предпочитаемый товар невозможно купить, не выявляет истинного предпочтения
Кривая безразличия — кривая, изображающая все комбинации из двух благ, имеющие для потребителя одинаковую полезность и по отношению к выбору которых он безразличен. Аналогом понятия кривой безразличия для производителя является изокванта — кривая, изображающая комбинации из двух факторов производства (как правило, труда и капитала).
БЮДЖЕТНОЕ ОГРАНИЧЕНИЕ - 1) различные наборы товаров, которые могут быть куплены при данном размере дохода по средним рыночным ценам; 2) в теории потребления - точка на кривой бюджетного ограничения конкретного человека, лежащая одновременно на самой высокой из кривых безразличия, представляющая собой точку максимизации полезности; 3) финансовые ограничения на расходование денежных средств из бюджета, выражающиеся в форме предельно допустимых расходов. Финансовые ограничения обусловлены наличием ограниченного количества денежных средств в бюджете («денежной сумке») государства, региона, предприятия, семьи. Наиболее часто термин «бюджетное ограничение» используется в теории потребления и означает, что денежные расходы экономического агента на все приобретаемые им товары не могут превышать его денежного дохода, т. е. выходить за пределы бюджетной линии, называемой иначе линией цен или линией возможностей потребления. Линия бюджетного ограничения (бюджетная линия) - это прямая, точки которой показывают наборы благ, при которых имеющийся доход реализуется полностью. При положительной предельной полезности благ потребитель всегда выбирает набор, изображаемый одной их точек этой линии, иначе оставалась бы неизрасходованной часть денег, на которые можно было бы купить дополнительные товары, повысив свое благосостояние. Линия бюджетного ограничения может быть и более сложной: составной, ломаной, выпуклой - в зависимости от условий, определяющих возможность потребителя покупать данный товар. Например, ломаная бюджетная линия возникает, если в бюджетное ограничение включается такое условие, как ограничение не Равновесие, или баланс — состояние системы, описываемой в естественных и гуманитарных науках: система считается находящейся в состоянии равновесия, если одни воздействия на неё компенсируются другими или отсутствуют вообще. Смежное понятие — устойчивость; равновесие может быть устойчивым, неустойчивым или безразличнымолько по денежным ресурсам, но и по времени
Экономическое равновесие — ситуация, когда факторы, оказывающие влияние на экономическую переменную, уравновешивают друг друга таким образом, что переменная величина в результате не изменяется (например Равновесная цена, Рыночное равновесие).
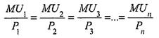
Равновесие потребителя (consumer equilibrium) — точка, в которой потребитель максимизирует свою общую полезность или удовлетворение от расходования фиксированного дохода.
Равновесие потребителя может быть выражено следующим образом:

где MU — предельная полезность отдельных товаров;
P — их цена.
Если кривая безразличия показывает, что потребитель хотел бы купить, а бюджетная линия — что потребитель может купить, то в своем единстве они могут ответить на вопрос, как обеспечить максимальное удовлетворение от покупки при ограниченном бюджете. Кривые безразличия и бюджетная линия используются для графической интерпретации ситуации, когда потребитель максимизирует полезность, получаемую им от покупки двух разных благ при имеющемся бюджете.
Оптимальный набор потребительских благ должен отвечать двум требованиям:
- находиться на бюджетной линии;
- предоставить потребителю наиболее предпочтительное сочетание.
Данные условия и их реализация обеспечивают оптимальный выбор точки на бюджетной линии. Для этого необходимо наложить бюджетную линию на карту кривых безразличия, как это показано на графике.
Выбор потребителя. Оптимальный и рациональный выбор
Вспомним, что спрос зависит от цен на товары и услуги, от дохода, от вкусов и предпочтений потребителя. Рассмотрим теперь, как предпочтения потребителя, выраженные через кривые безразличия, взаимодействуют с бюджетными ограничениями и каким образом осуществляется выбор оптимального сочетания товара Х и товара Y. На рис. 1 изображены линия бюджетного ограничения и карта предпочтений потребителя.
Потребитель желает выбрать такую комбинацию товаров X и У, которая обеспечит максимальную совокупную полезность и при этом позволит не выйти за пределы своего бюджета. Решая эту задачу графически, потребитель будет продвигаться по линии бюджетного ограничения от точки ее пересечения с горизонтальной осью вверх. При этом линия бюджетного ограничения будет поочередно пересекать кривые безразличия, обеспечивающие все более высокие уровни общей полезности. Такое движение будет осуществляться до тех пор, пока бюджетная линия не коснется наивысшей кривой безразличия, доступной для касания. В этой точке касания двух кривых (Е) достигается оптимальный выбор потребителя, при котором совокупная полезность в пределах данного бюджета максимизируется.
Если продвигаться далее вверх по бюджетной линии за пределами точки Е, бюджетная линия начнет пересекать поочередно кривые безразличия, обеспечивающие все более низкий уровень совокупной полезности, удаляя тем самым потребителя от искомой цели.
Таким образом, равновесие потребителя, или рациональный выбор потребителя, достигается в точке касания бюджетной линии с наивысшей доступной для касания кривой безразличия.
Рассмотрим иную ситуацию, когда стоит задача получить некоторую полезность при минимальных затратах (рис. 2).
В точке касания (Е) кривой безразличия с наиболее низко расположенной бюджетной линией будет достигнута поставленная цель: данная комбинация двух благ обеспечивает искомую полезность и стоит менее всего.
Обратим внимание, что в точке касания наклоны двух кривых одинаковы. Наклон кривой безразличия равен предельной норме замещения. Наклон бюджетной линии равен отношению цены товара Х к цене товара У (с учетом минуса), или — Рх/Ру.
Приравняв известные нам формулы наклона этих кривых, получим:
- MVx / MVy = - Px / Py.
Разделив обе стороны неравенства на — Рх, можно вывести равнозначную, уже знакомую нам, формулу:
MVx / Px = MV / Py.
Таким образом, не прибегая к измерению полезности отдельного блага, при помощи кривых безразличия мы получили точно такой же вывод и аналогичную формулу, как и на основе использования теории предельной полезности
Фу́нкция поле́зности — экономическая модель для определения предпочтений экономических субъектов. Основополагающим условием концепта функции полезности является рациональное поведение потребителя, выражающееся в выборе из многочисленных альтернатив именно тех, которые выводят его на более высокий уровень полезности. В микроэкономике концепт функции полезности служит для объяснения поведения потребителей и производителей, в то время как в макроэкономике им пользуются для изображения предпочтений государственных интересов. Первая производная функции полезности по количеству определённого блага
называется предельной полезностью этого блага. Предельная полезность выражает, сколько дополнительной полезности приносит дополнительная единица блага
. Предельная полезность, равная 0, означает достижение насыщенности.
Большинство функций полезности, рассматриваемых в экономике, имеют отрицательную вторую производную — закон убывающей предельной полезности.
Функция полезности может быть использована для определения спроса потребителя через решение задачи о максимизации полезности. Полученное решение носит название маршалловского спроса.






