Лекция 5.
Рассмотрим механическое поведение полимерной матрицы, в которой расположены элементарные однонаправленные волокна.
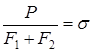
Однонаправленные композиционные материалы имеют площадь поверхности матрицы (рабочей) F1, у армирующей фазы – F2.
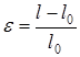
Относительное удлинение:
(2.10)

Т.к. при армировании модуль упругости наполнителя намного больше модуля упругости матрицы, т.е. Е2 > Е1, то при одноосном растяжении вдоль напряжения армирования деформация композиционного материала будет определяться более жестким наполнителем:
ε1 = ε2 = ε (2.11)
Т.о. физическая модель поведения подобного композита будет выглядеть следующим образом:

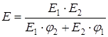
Е1 – модуль упругости матрицы
Е2 – модуль упругости наполнителя
В соответствии с законом Гука нагрузка, вызывающая деформацию равна:
(2.12)
Нагрузка складывается из двух составляющих:
(2.13)
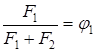
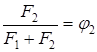
Разделим обе части этого уравнения на сумму площадей:
(2.14)





(2.16),
где
φ1 – объемная доля матрицы
φ2 – объемная доля наполнителя
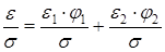
Если (6) разделить на ε, то получим:
|
|
|
(2.17)
Уравнения (6) и (7) – уравнения смеси Фойхта.
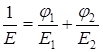
Если действие нагрузки на однонаправленный композит перпендикулярно ориентации волокна, то модель механического поведения будет связана с одним напряжением композиционного материала, т.е.:
σ1 = σ2 = σ (2.18)

(2.19)
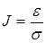
Т.к. напряжение σ постоянно, то после деления обеих частей уравнения (9) на σ, получаем:
(10)
‑ податливость системы

(2.19)
Отсюда 1/Е:
(2.20)
Отсюда:
– формула Райеса (2.13)
Геометрическая интерпретация однонаправленного композиционного материала механического поведения и смесевых композиционных материалов могут быть аппроксимированы линейной и нелинейной зависимостями.






