Механическое поведение композиционного материала с непрерывными
В таком случае, если внешняя или действующая сила не совпадает с направлением армирования, то прочностные и деформационные показатели должны рассчитываться не по (6) и (8), а по более сложным зависимостям.
Если рассматривать все многообразие направлений, возникающих для различных углов армирования, то можно выделить три участка:
1) Угол армирования до 7°
2) Угол армирования от 7 до 80°
3) Угол армирования свыше 80°
4)
Угол армирования – угол между ориентаций волокна и направлением действующей силы. В настоящее время разработаны математические модели упруго-прочностного поведения армированных пластиков, которые используются для оценки несущей способности конструкции.
Анализ эмпирической зависимости прочностных показателей позволяет выделить на кривой по крайней мере 3 области, поддающихся интерпретации:

I область: величина прочности композиционного материала для этого случая:
,
где σ0 – разрушающее напряжение при 0° армирования
|
|
|
σ1 – разрушающее напряжение при 7°
II область, величина прочности:
, где
τ – касательное напряжение сдвига
III область, величина прочности:
, где
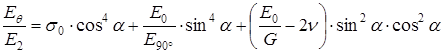
Американский ученый Цой получил общую зависимость, описывающую сопротивление композиционного материала во всем диапазоне углов армирования. Эта зависимость имеет следующий вид:
, где
ЕΘ – модуль упругости в интересующем нас касательном напряжении
Е2 – модуль упругости волокна
Е0 – модуль упругости, совпадающий с ориентацией волокна
Е90° – модуль упругости при угле армирования 90°
G – модуль упругости при сдвиге
n ‑ коэффициент Пуассона






