Сопротивление композиционных материалов, наполненных короткими волокнами
Лекция 6.
Для коротковолокнистых композиционных материалов, в отличие от армированных пластиков, математическая модель, адекватно описывающая их поведение не создана. Тем не менее для прогноза таких материалов используются полуколичественные зависимости. Очень часто для оценки прочностных и деформационных свойств используют формулу Фойхта. Однако эта формула не учитывает факторы, влияющие на прочность наполнителя, такие как длина, свойства матрицы, ориентация в пространстве.
Для использования формулы Фойхта как правило вносят величину составных частей:
Прочность наполнителя элементарного волокна:
(2.14)
где
‑ среднее значение прочности волокон различной длины
lкр – критическая длина волокна
l – истинная длина волокна
Зависимость между длиной волокна и прочностью носит асимптотический характер.
2) Влияние разориентации волокон:
При наполнителе короткими волокнами наполнитель распределяется в матрице хаотически. Ученый Кренгель предложид оценивать эффективность разориентации волокон коэффициентом и использовать для оценки прочностных и деформационных показателей смесей.
|
|
|
(2.15)
где
η – коэффициент разориентации волокна
η = 0,166 – 17 % от прочности наполнителя
Т.о., для ориентировочной оценки прочности коротковолокнистых композиционных материалов можно применять данную зависимость.
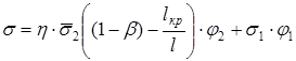
3) Влияние жесткости матрицы на прочность. При выводе формулы смесей предполагалось, что матричная фаза подчиняется закону Гука, однако на практике этим требованиям отвечают немногие матрицы. Фойхт предложил ввести коэффициент пластичности β = 0 – 0,5.
Разрушающее напряжение композиционных материалов с учетов всех коэффициентов определяется:
(2.16)






