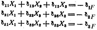
Число уравнений равно степени статической неопределимости системы.
Если положить Xk=1, то δiXk =δik следовательно δ ik -перемещение по направлению i – го силового фактора под действием единичного фактора, заменяющего k- й фактор.
Например δ34 – взаимное горизонтальное смещение точек В и С, которое возникло бы в раме, если бы к ней вместо всех сил был приложен только единичный момент в точке С, δ44 – угол поворота точек В и С при действии единичного момента.
Для определения величин коэффициентов δ ik нужно в интегралах Мора вместо внешних сил рассматривать единичную силу, заменяющую k- й фактор. Поэтому внутренние моменты и силы нужно заменить на внутренние моменты и силы от единичного k- го фактора. В итоге получим:

Мкр i , М xi , М yi, Ni, Qxi, Qyi – внутренние силовые факторы, возникающие под действием i- го единичного фактора.
Коэффициенты δ ik получаются как результат перемножения i- го и k- го внутренних единичных силовых факторов.
Если рама состоит из прямых участков и можно пользоваться правилом Верещагина, то δ ik представляет результат перемножения i- х единичных эпюр на k-е единичные эпюры, причем: δ ik= δki.
Величины δ iP – перемещения в направлениях 1,2…,возникающие под действием заданных внешних сил в основной системе и определяются перемножением эпюры заданных сил на соответствующие единичные эпюры.
Использование свойств симметрии.
Если рама симметрична в геометрическом отношении, то число неизвестных силовых факторов Xi можно снизить.


Симметричная нагрузка – внешние силы, приложенные к правой части рамы, являются зеркальным отображением сил, приложенных к левой части.
Кососимметричная нагрузка – внешние силы, приложенные к правой части, также зеркальное отображение сил левой части, но противоположны им по знаку. Аналогично и внутренние силовые факторы М x, М y,N –симметричные,
Мкр, Qx , Qy – кососимметричные.
У симметричной рамы в плоскости симметрии при симметричной внешней нагрузке обращаются в нуль кососимметричные силовые факторы, а при кососимметричной внешней нагрузке – симметричные силовые факторы.
Все эти положения имеют силу и для пространственных рам при любой степени статической неопределимости.
Если нагрузка симметричной рамы не обладает свойствами ни прямой, ни косой симметрии, ее всегда можно разложить на кососимметричную и симметричную.
Например:

В этом случае задача распадается на две – с кососимметричной и симметричной нагрузками.
Если рама обладает косой геометрической симметрией, то путем сопоставления эпюр для двух ее половин, можно получить упрощения в системе канонических уравнений. Например:


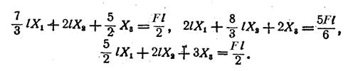
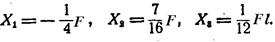
Пример









Эпюра М строится обычным способом или может быть получена наложением на эпюру моментов от заданных сил (МР) трех единичных эпюр, увеличенных соответственно в X1, X2, X3 раза.
Пример 2. Симметричная рама нагружена кососимметричными силами. В такой раме симметричные силовые факторы равны нулю. Поэтому вместо трех уравнений получаем одно:

Эпюра М построена обычным способом.


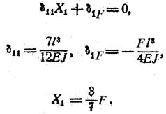
Определение перемещений в статически неопределимых системах.

После того, как раскрыта статическая неопределимость и найдены X1,X2,X3 и т.д. строятся эпюры моментов от внешних сил F и от уже известных X1,X2,X3 и т.д. Далее система освобождается от всех внешних сил и к ней прикладывается единичная сила в интересующем нас направлении. Полученная единичная эпюра перемножается с суммарной эпюрой внешних заданных сил. Практически более удобно умножать единичную эпюру отдельно на эпюры от F и от X1,X2,X3, а затем полученные результаты алгебраически сложить.
Пример: Раскрытие статической неопределимости построение эпюры М смотри предыдущий пример


Особенности расчета плоскопространственных и пространственных систем.
Плоскопространственные системы – системы плоские в геометрическом отношении, но нагруженные силовыми факторами, перпендикулярными к плоскости рамы. В этих системах, внутренние силовые факторы в сечениях, лежащих в плоскости рамы равны нулю. Доказательство этого аналогично свойствам прямой и косой симметрии. Поэтому решение для такой рамы аналогично решению плоской рамы.






