Основным недостатком определения перемещений при помощи интеграла Мора является необходимость составления аналитического выражения подинтегральных функций и их последующего интегрирования.
Если сила F находится внутри ядра сечения, напряжения во всех точках сечения будут одного знака. Если сила приложена за пределами ядра сечения, нейтральная линия пересекает сечение и напряжения будут как сжимающими, так и растягивающими. Если сила F приложена на границе ядра, нейтральная линия касается контура сечения.
Чтобы определить ядро сечения, надо поставить условие, чтобы нейтральная линия обкатывалась вокруг сечения. Точки приложения силы вычертят при этом контуры ядра.
Пример1. Опрделить размеры ядра сечения бруса круглого сечения радиуса R
OC = R- нейтральная линия касается круга.
x0 =0, y0 = r, A =
R2, Ix = Iy =
; R =
=
;
y0 =
.
Пример2. Определить ядро сечения для бруса прямоугольного сечения со сторонами h и b.
Пусть нейтральная линия совпадает с нижним основанием. Тогда

|
|
|
y0 =
точка А.
Когда нейтральная линия переместится и совпадет с правой стороной прямоугольника, аналогично
OC=
, y0=0, F=bh, Iy=
, x0=
Симметрично точкам А и В расположены А1В1 Для определения траектории точки приложения F, если нейтральная линия поворачивается вокруг правого нижнего угла сечения, необходимо, чтобы напряжения в угловой точке равнялись нулю. Тогда из уравнения нейтральной точка приложения силы перемещается по прямой.Соединяя АВА1В1 прямыми получим ядро сечения.
Модульный контроль 3.
Тема 8. Потенциальная энергия деформации и определение перемещений при произвольном нагружении бруса.
Лекция 6. Потенциальная энергия деформации при произвольном нагружении бруса.
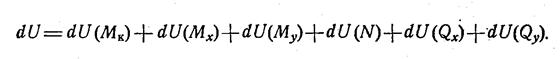
Рассмотрим общий случай нагружения бруса, когда в поперечных сечениях возникают одновременно все внутренние силовые факторы: N,Qx,Qy,Mkp,Mx,My. Брус при этом может быть не только прямым, но иметь небольшое искривление или состоять из прямых участков, образующих плоскую или пространственную систему.
Наиболее просто находятся перемещения при помощи энергетических соотношений на основе общего выражения потенциальной энергии бруса.
Для определения потенциальнэнергии выделим из бруса элемент длиной dz.
В поперечном сечении в общем случа нагружения возникают все шесть сило вых факторов: три силы и три момента.
По отношению к выделенному элементу рассмотрим эти силовые факторы как внешние и определим работу, которая совершается ими при деформировании элемента. Эта работа переходит в потенциальную энергию, накопленную в элементарном участке бруса.
Левое сечение условно будем рассматривать как неподвижное с тем, чтобы работа всех силовых факторов на левом торце была равна нулю. Точка приведения сил в правом сечении вследствие деформации элемента получает некоторые малые перемещения, на которых совершается искомая работа. Каждому из шести силовых факторов соответствуют такие перемещения, на которых ни один из остальных пяти работы не совершает, т.е. потенциальная энергия рассматривается как сумма независимых работ каждого из шести силовых факторов или сумма энергий растяжения, кручения, изгиба и сдвига;
|
|
|

Растяжение. dU =
N
dz, но согласно закона Гука:
dz=
, тогда

Кручение. d
- угол закручивания. dU=
.
Изгиб. dU =
Md
, d
=
если М = Мx, то dU(Mx) =
, если
М =Мy, то
dU(My)=
.
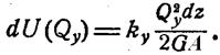
Сдвиг. Для этого случая по аналогии с предыдущими получим:


Коэффициенты kx и ky – безразмерные величины, которые зависят от геометрической формы сечения.
Например для прямоугольного сечения k=kx =ky=
.
Для сплошного круглого сечения k=
, для тонкостенного кругового профиля k=2. Подставляя значения слагаемых в (1) получим:

Чтобы получить потенциальную энергию всего бруса, это выражение нужно проинтегрировать по длине бруса:

Для большинства систем энергия растяжения и сдвига, как правило, существенно меньше энергии изгиба и кручения.
Интеграл Мора.
Для определения перемещений на основе выражения потенциальной энергии необходимо применить так называемую теорему Кастилиано, согласно которой, частная производная от потенциальной энергии системы по силе равна перемещению точки приложения силы по направлению этой силы, т.е.

Однако этот метод обладает тем недостатком, что дает возможность определить перемещения только точек приложения внешних сил и только в направлении этих сил. На практике возникает необходимость определять перемещения любых точек системы в любом направлении.
Для решения этой задачи можно поступить следующим образом. Для определения перемещения в точке, где не приложена сила, мы сами прикладываем в этой точке внешнюю силу Ф в интересующем нас направлении. Далее составляем выражение U системы с учетом Ф и дифференцируя энергию по Ф, находим перемещение рассматриваемой точки по направлению силы Ф. Далее полагается Ф=0, т.к. ее в действительности нет и в итоге определяется искомое перемещение.
Приложим в точке А по направлению x1 силу Ф. 
Внутренние силовые факторы в каждом попереч-
ном сечении при этом изменятся на величины, зависящие от силы Ф. Так например

Очевидно, что дополнительные силовые факторы МкФ, МxФ и др. пропорциональные силе Ф. Если Ф, например удвоить, удвоятся соответственно и дополнительные силовые факторы. Следовательно

Где Мк1, Мx1 и т.д.- некоторые коэффициенты пропорциональности, зависящие от положения рассматриваемого сечения, они переменны по длине бруса. Если положить Ф=1 – единичной силе, а систему внешних сил снять, то Мк=Мк1, Мx=Mx1 и т.д. Следовательно, Мк1, Мx1, My1, N1, Qx1, Qy1 - внутренние
силовые факторы, возникающие в поперечном сечении под действием единичной силы, приложенной в рассматриваемой точке в заданном направлении. Подставим теперь эти силовые факторы в выражение потенциальной энергии.
Тогда

.
Дифференцируя это выражение по Ф и полагая после этого Ф=0, найдем перемещение точки А:

,
- интеграл Мора.
Способ графического интегрирования Верещагина.
Однако, если брус состоит из прямых участков с постоянной в пределах каждого участка жесткостью, операцию интегрирования можно упростить. Это упрощение основано на том, что эпюры от единичных силовых факторов на прямолинейных участках бруса – прямолинейны.

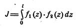
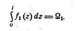
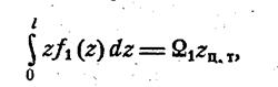
Пусть нужно взять интеграл:
при условии, что одна из этих функций - линейная.
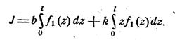
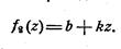
Пусть

тогда
Первый из этих интегралов – площадь эпюр
Второй интеграл представляет статический момент этой площади относительно
|
|
|
оси y1 , т.е.
где z ц.т. –координата центра тяжести первой эпюры.


Теперь получаем:
Встречающиеся на практике эпюры М можно разбить на простейшие фигуры, для которых площади Ω и положение ц.т. известны


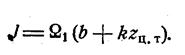
Пример: Определить перемещение точки K консоли, нагруженной равномерно распределенной нагрузкой интенсивностью q.


Тема 9. Витые пружины.
Лекция 7. Цилиндрические пружины растяжения, сжатия и кручения.
Расчеты на прочность и жесткость.
В инженерной практике очень часто встречается такой элемент конструкции, как витая пружина.

Пусть D-диаметр пружины, d – диаметр проволоки из которой навита пружина, α – угол подъема витков пружины, n – число витков пружины,
S – шаг пружины. Из рисунка: S=πD tgα. Обычно S много меньше πD и угол α может рассматриваться как величина малая, обычно α < 5˚, поэтому для упрощения расчетов примем cos
В зависимости от вида воспринимаемых рабочих нагрузок витые пружины подразделяются на пружины растяжения, сжатия и кручения.
Рассмотрим пружину растяжения – сжатия.

F- результирующая внутренняя сила, М=F
- момент. F - параллельна оси пружины, а плоскость М совпадает с плоскостью пары сил F. Поэтому

Для определения осевого перемещения
, прикладываем к концам пружины единичные силы и находим возникающие при этом внутренние силовые факторы. Они будут определяться уменьшенными в F раз:

Для определения перемещений в пружине необходимо написать четыре интеграла Мора из шести. Однако перемещения, связанные с N, Q и Mизг будут малы т.к. α мало.

Поэтому:

но l=πD n и полагая cosα
1 получим:

Тема 10. Статически неопределимые системы.
Лекция 8. Связи накладываемые на систему. Степень статической неопределимости.
Стержневой системой называется всякая конструкция, состоящая из элементов, имеющих форму бруса. Если элементы конструкции работают в основном на растяжение или сжатие, то система называется фермой.







