Основные понятия и виды цен
Цена – денежное выражение стоимости товара.
Выполняет 3 функции:
1. Дает информацию, ориентирующую действия покупателей и продавцов;
2. Стимулирует наиболее экономический способ производства и наиболее рациональное поведение спроса;
3. Через цену происходит распределение доходов между участниками рыночной экономики.
Основные виды цен:
В макроэкономике выделяют:
1. Государственные цены;
2. Договорные цены;
3. Мировые цены.
В микроэкономике выделяют:
1. Оптовые цены;
2. Розничные цены;
3. Цены и тарифы на услуги населению;
4. Сметная стоимость;
5. Закупочные цены;
6. Цены на первичном и вторичном рынке жилья.
[Уч. пособие, стр. 51-52]
Индивидуальный уровень цен – это абсолютная величина цены в денежном выражении за единицу конкретного товара на рынке в конкретный момент времени.
Средний уровень цен – это обобщающий показатель уровня цен, определенный по однородным группам товаров во времени в пространстве. Средние цены исчисляются на определенный период времени, по конкретной территории.
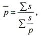
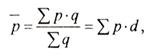
Для конкретного товара и товарных групп по различным территориям и рынкам средняя цена рассчитывается путем деления стоимости товара или товарной группы на ее объем в натуральном выражении. При этом используется:
· Либо средняя арифметическая взвешенная:
где р – цена товара, q – кол-во товара, d – удельный вес каждого товара в общем объеме товаров.
· Либо средняя гармоническая взвешенная:
где р – цена товара, s – стоимость товаров.
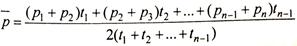
Для расчета средних цен за разные моменты времени используются:
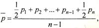
· Средняя хронологическая простая:
где n – число месяцев или дней (моментов).
· Средняя хронологическая взвешенная:
где ti – период времени между i-й и (i+1)-й датами.
Показатели структуры цены:
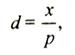
· Удельный вес составляющих элементов в цене:
где х – размер отдельного элемента цены, р – цена.
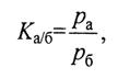
· Коэффициент соотношения оптовых и розничных цен:
где ОЦ - оптовые цены, РЦ – розничные цены.
Для оценки интенсивности изменения структуры цены за счет отдельных элементов используют:
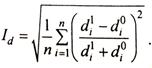
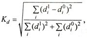
· Коэффициент К. Гатеева:
где di1, di0 – относительные показатели структуры цены изучаемых товаров или одного товара в отчетном и базисном периодах соответственно.
· Коэффициент А. Салаи:

Коэффициенты эластичности цен:
· Эмпирический коэффициент эластичности:
где
– абсолютные приросты факторного признака и цены; х, р – базовые значения факторного признака и цены, соответственно.
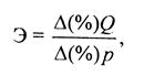
· Теоретический коэффициент эластичности:
где
- абсолютное изменение величины спроса на товар под влиянием повышения цен, %;
- абсолютное изменение цен, %.
o Коэффициент перекрестной эластичности:
где pi1, pi0, pj1, pj0 – цены товаров i-го и j-го видов, соответственно, в текущем и базисном периодах.
Показатели вариации и соотношения цен:
o Размах вариации цен:
где рмакс, рмин – соответственно максимальная и минимальная цены на товар.
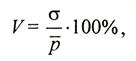
o Коэффициент вариации цен:
где
- среднее квадратическое отклонение цены на товар; р – средняя цена. Если V>40%, то вариация цен значительная.
o Коэффициент соотношений:
где ра, рб – цены, соответственно, изучаемого и базового товара.
Цена базового товара выбирается на основе его потребительской роли или гипотезы о его влиянии на цены других товаров.
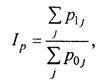
Показатели динамики цен – индексы цен.
Индекс цен – относительный показатель, выраженный в коэффициентах или процентах, характеризующий изменение цен во времени (индекс динамики) или в пространстве (территориальный индекс).
Индивидуальные индексы цен – индексы цен отдельных товаров.
Элементарные индексы (субсидексы) представляют собой средние индексы для однородных товарных групп, исчисленные на основе индивидуальных индексов.
Для исчисления элементарных индексов цен используют следующие формулы:
o Индекс цен Дюто:
где j – номер товара в товарной группе.
o Индекс цен Джевонса:
где n – всего товаров в товарной группе.
o Индекс цен Карли:

Агрегатные (сводные) индексы представляют собой взвешенные средние из элементарных индексов для более высоких уровней агрегирования.
Используются разные способы расчета агрегатных индексов:
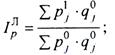
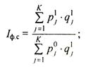
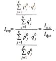
o Индекс цен Ласпейреса:

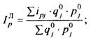
o Индекс цен Пааше:

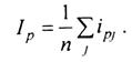
o Средний арифметический из индивидуальных индексов цен:

o Средний гармонический из индивидуальных индексов цен:

o «Идеальный» индекс Фишера:

Индексы средних цен (для однородных товаров):
o Переменного состава – показывает, во сколько раз изменилась средняя цена за счет изменения цен и структуры реализации:

o Постоянного состава – показывает, во сколько раз изменилась средняя цена только за счет изменения:

o Структурного сдвига – показывает, во сколько раз изменилась средняя цена только за счет изменения структуры реализации:

[Уч. пособие, стр. 52-58]






