Система индексов цен производителей включает индексы цен на промышленную, с/х, строительную и другую продукцию.
Индексы цен на промышленную продукцию характеризуют динамику изменения этих цен. Построение индексов цен состоит из следующих этапов:
1) Отбор базовых предприятий и товаров – представителей для наблюдения;
2) Определение порядка регистрации цен;
3) Выбор весов и расчетных формул.
Отбор товаров для регистрации цен производится:
1) Для наблюдения за уровнем цен;
2) Для расчета индексов цен по товарным группам;
3) Для расчета сводных индексов цен по отраслям и промышленной продукции в целом.
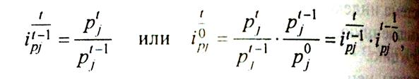
Индивидуальные индексы цен рассчитывают по формулам:

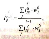
Для расчета сводных индексов используется модифицированная формула Ласпейреса я рекурсивной системой расчета стоимостных весов:

Приведенная формула отражает следующую взаимосвязь цепных и базисных индексов:

[Уч. пособие, стр. 61-63]
Часть VIII
СТАТИСТИКА ДЕНЕЖНОГО ОБРАЩЕНИЯ






