Индекс потребительских цен (ИПЦ) измеряет изменение цен потребительских товаров и услуг, приобретаемых домашними хозяйствами за тот или иной период времени.
Методология исчисления ИПЦ, применяемая в РФ:
1) Формируется потребительская корзина, охватывающая набор товаров и услуг, приобретаемых домашними хозяйствами для целей конечного потребления;
2) Для выделенных классификационных уровней определяются роли в общем объеме потребления;
3) Определяют список товаров – представителей, характерных для каждой упомянутой выше товарной группы;
4) Производят сбор данных о ценах товаров – представителей;
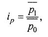
5) На основе собранной информации исчисляют индивидуальные индексы цен для каждого товара – представителя по всем торговым точкам города или района:
где р1 и р0 – средние цены товара – представителя в отчетном и базисном периодах, соответственно.
Средние цены при этом рассчитывают по формуле:
где рк – цена на определенный товар – представитель в к-й торговой точке; n – всего торговых точек.
|
|
|
6) Индивидуальные индексы цен усредняются для получения среднего индекса для каждой наименьшей товарной группы.
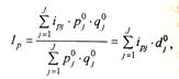
7) На основе элементарных индексов цен (ipj) исчисляют средний для города или района ИПЦ по формуле Ласпейреса:

8) На основе элементарных индексов цен по городам, районам и территориальных весов определяются элементарные индексы цен в целом по региону, экономическому району, РФ по формуле арифметической взвешенной;
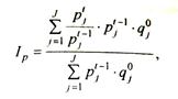
9) Вычисляется сводный ИПЦ для всей страны на основе элементарных индексов цен для страны в целом. С 1993г. В статистической практике РФ отдается предпочтение модификации стандартной формулы Ласпейреса, которая имеет следующий вид:

Модификация позволяет сохранить постоянную натуральную основу весов при изменении ее стоимостной оценки из-за изменения цен.
[Уч. пособие, стр. 58-61]






