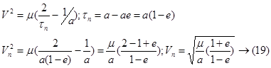
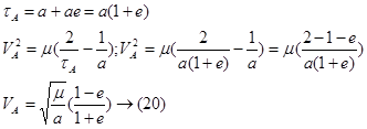
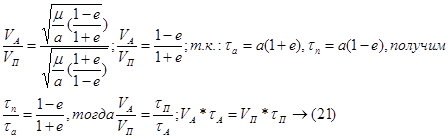
Вычислим скорость ИСЗ в некоторых точках орбиты:
1. Скорость ИСЗ в перигее:


2. Скорость ИСЗ в апогее: 
3. Найдем отношение скоростей:

Секториальная скорость ИСЗ величина постоянная.
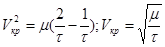
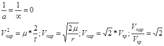
Первая и вторая (круговая и параболическая) космические скорости.
1. Рассмотрим круговую орбиту a=τ
Так как
, то 
2. Для параболической орбиты: а=∞;

При скорости Vкр спутник движется вокруг притягивающего тела по круговой орбите. При этом сила притяжения равна центральной силе.
Параболическая скорость или скорость освобождения- это скорость выхода тела из сферы Земного притяжения. Тело, движущееся с параболической скоростью вокруг центрального тела, при отсутствии вблизи других притягивающих тел, будет неограниченно удаляться от центрального тела.
Вычислим скорость тела при его выходе из сфер притяжения Земли, если:
это вторая космическая скорость.
первая космическая скорость.
Обладая второй космической скорость, объект покинет Земную поверхность и удалиться на бесконечное расстояние, если не будет других притягивающих тел, кроме Земли.
Однако, в действительности тело, покинувшее Землю с такой скоростью, не уйдет в бесконечность, а будет двигаться по эллиптической орбите вокруг Солнца.
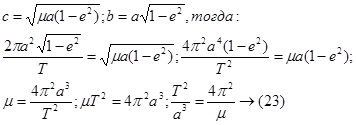
Период обращения и время существования ИСЗ.
Известно, что площадь эллипса
где а,б –полуоси эллипса.
Если Т-период обращения по орбите, то удвоенная секториальная скорость
(22)
Подставим в (22) следующие значение:

Получим аналитическое выражение 3его закона Кеплера. Обозначим:
- среднее движение по эллиптической орбите.
Из (23) найдем: 
Определим период обращения ИСЗ при следующих данных:
НА=1880км; НП=230км; μ=3,97*1020см3/с2; 
Время существования приведем в виде таблицы:
| круговая орбита | эллиптическая орбита | |||||
| высота(км) | время сущ-я(суток) | высота апогея (км) | высота перигея (км) | |||
| 0,4 | ||||||
В таблице приведено время существования для ИСЗ весом 100кг и диаметром 1м, в зависимости от начальной высоты для круговой и эллиптической орбит. Из таблицы видно, что время существования ИСЗ очень сильно зависит от высоты орбиты. При высоте полета в несколько тысяч км движение ИСЗ происходит за пределами атмосферы, и такой ИСЗ практически может оставаться постоянным.
Типы орбит ИСЗ.
В зависимости от наклона орбиты (J) ИСЗ делятся на:
1. Экваториальные (J=0)
2. Наклонные (0 < J < 90)
3. Полюсные (полярные) (J=90)
Экваториальные ИСЗ будут всегда пролетать над экватором. При Н≈36000км период обращения ИСЗ будет равен периоду обращения Земли вокруг оси. Тогда ИСЗ все время будет находиться над одним и тем же наземным пунктом. Такой спутник называется стационарным.
Экваториальный спутник можно наблюдать в полосе, примыкающей к экватору. Ширина этой полосы зависит от высоты ИСЗ.
Витки полюсного ИСЗ при каждом новом обороте будут смещаться к западу из-за вращения Земли вокруг оси. Такие ИСЗ в различное время будут наблюдаться в любом пункте Земной поверхности.
Наклонные ИСЗ проектируются на поверхность Земли только в пределах широты ∆φ=±J.
Все ИСЗ разделяются на прямые и обратные. Прямые перемещаются в направлении вращения Земли с запада на восток, обратные перемещаются с востока на запад.
При запуске прямых ИСЗ к линейной скорости ракеты добавляется линейная скорость вращения Земли. При запуске обратных ИСЗ линейная скорость движения Земли вычитывается из скорости ракеты, т.е. ракету следует разгонять на большую скорость.
Кроме перечисленной классификации спутники и их орбиты делятся на: периодические, непериодические, т.е. положение ИСЗ относительно земной поверхности каждые сутки повторяется или нет.
ИСЗ, орбиты которых лежат на границе земных дня и ночи, называются сумеречными. Их удобно наблюдать визуально, т.к. над всеми наблюдателями они будут пролетать в местные сумерки.
По высоте орбиты ИСЗ деляться на 3 группы:
1. Н до 500км (ИСЗ из серии «Космос», космические корабли и орбитальные станции)
2. Н от 500 до 2000км (метеорологические, геодезические, астрономические и др.)
3. Н≈36000км- для елей связи (стационарные).