
О- начало полярной системы координат
с фокусом эллиптической орбиты ИСЗ
Прямая В’Д’- директриса
Известно, что отношение расстояния
от любой точки эллипса до фокуса
и до директрисы, является величиной
постоянной, численно равной эксцентриситету.
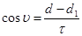
Поэтому:
где Р- фокальный параметр орбиты ИСЗ
Из чертежа:
Где υ- истинная аномалия- угол между радиус-вектором ИСЗ и линий АПСИД.
Тогда, с учетом того, что
, найдем:

Так как
т.к. с=ae. Тогда вместо (1) получим:
(2)
Полученное уравнение связывает полярные координаты точек орбиты (τ, υ) с ее геометрическими параметрами (a, e). Однако это уравнение не отражает динамики движения спутника по орбите. Такую связь даст уравнение Кеплера, которое связывает полярные координаты точек орбиты со временем, через некоторые вспомогательные параметры.
Вывод уравнения Кеплера
Согласно 2ого закона Кеплера спутник движется по орбите неравномерно (быстрее у перигея и медленнее у апогея). Такая нелинейная зависимость координат ИСЗ (τ, υ) от времени неудобна для расчетов, поэтому при анализе движения ИСЗ, вводят условные параметры, являющиеся линейной функцией времени.

На рис. эллиптическая орбита ИСЗ, по которой
спутник С движется неравномерно. Для введения
условных параметров заменим неравномерное
движение спутника равномерным, происходящим
по круговой орбите с радиусом равным большой полуоси а.
1й условный параметр: это М- средняя аномалия, т.е. дуга окружности, которую описал бы спутник, после прохождения через перигей, если бы он двигался равномерно по круговой орбите, совершая полный оборот за свой фактический период обращения по эллиптической орбите.
2й условный параметр: это υ- истинная аномалия, т.е. угол между радиус-вектором ИСЗ (τ) и линией АПСИД (АП).
3й условный параметр: Это Е- эксцентрическая аномалия, т.е. угол, который получим следующим образом: через спутник С проводим перпендикуляр к большой оси (АП) эллиптической орбиты и продолжаем его до пересечения с окружностью. Получим точку Р, которую соединяем с центром (О) орбиты. Тогда угол РОП=Е.
Обозначая период обращения спутника через Т, можно написать пропорцию:
отсюда
где Тп – момент прохождения ИСЗ через перигей. t - момент прохождения спутником произвольной точки орбиты.
Согласно определению средней аномалии имеем:
(3)

(4)
(5)
С учетом (2) и (3) найдем SFPП:
(6)
Подставляя (4) в (1) получим:
(7)
Зависимость (7) называется уравнением Кеплера.