Этот интеграл устанавливает связь между υ и Е.
Из чертежа: OQ=OF+FQ; (8)
OF=c=ae
Из треуг-ка OPQ OQ=a*cosE
Из треуг-ка FCQ FQ=τ*cosυ,
Тогда вместо (8) найдем
a*cosE=ae+τcosυ;
(9)
Приравнивая правые части уравнений (9) и (2), получим:

Подставим (10) в (9), найдем:
τ=a(1-ecosE) (11)
Используя известную из тригонометрии формулу, запишем:
(12)
Подставим в (12) вместо cosυ его значение из (10), тогда:
(13)
Из тригонометрии известно, что
(14)
С учетом (10) и (13), вместо (14) запишем:

(15)
Полученное уравнение называется динамический интеграл.
Интеграл энергии.
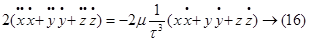
Запишем, полученные ранее, дифференциальные уравненя невозмущенного движения ИСЗ:
умножим по схеме и сложим. Получим:


Так как
, то дифференцируя
это уравнение и подставляя в (16), получим уравнение эквивалентное (16):

В этом уравнении заменим производную через дифференциал:
интегрируя, найдем:

(17)
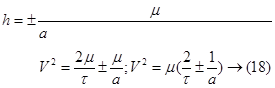
Где V- орбитальная скорость ИСЗ, h- постоянная энергии.
С учетом того, что
получим вместо (17)
«плюс» соответствует параболе; «минус»- эллипсу.
|
|
|






