В результате действия различных сил орбиты ИСЗ отклоняется от Кеплерова движения. К постоянно действующим возмущающим силам относятся:
1. Дополнительные силы тяготения, обусловленные несферичностью Земли и неравномерностью распределения масс внутри Земли.
2. Силы притяжения Солнца, Луны и планет.
3. Аэродинамические и магнитные силы.
4. Световое давление и другое.
Кроме того, в орбитальном полете ИСЗ может испытывать удары метеоритных тел, притяжение другими ИСЗ, кратковременные ускоряющие и тормозящие импульсы при включении бортовых реактивных двигателей. Эти силы называются мгновенными или импульсными.
Действие постоянных и импульсных возмущающих сил приводит к несовпадению истинных параметров движения ИСЗ с расчетными, определенными по формулам Кеплерова движения. Эти несовпадения называются возмущениями, а само движение ИСЗ под действием хотя бы одной возмущающей силы - возмущенным.
Все возмущения делятся на вековые и периодические. Вековые возмущения непрерывно изменяют элементы орбиты ИСЗ пропорционально времени. Периодические возмущения повторяются через определенные интервалы времени и делаться на короткопериодические и долгопериодические.
Движение ИСЗ по орбите с учетом возмущений:

Уравнения возмущенного движения ИСЗ.
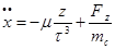
Равнодействующие F всех сил можно представить формулой:
, где Fг – «главная сила», с которой ИСЗ притягивается к центральному телу, рассматриваемому как материальная точка.
F в- возмущающая сила.
Обозначим: Fx Fy Fz – проекции возмущающих сил на оси координат (прямоугольная) система координат).
По второму закону Ньютона:
масса спутника на ускорение.
Тогда ускорения по координатным осям будут:
а дифференциальные уравнения возмущенного движения будут иметь вид:
в возмущенном движении в отличии от невозмущенного
элементы орбиты являются величинами переменными.

Для определения возмущений в элементах орбиты Лагранжем было введено понятие «оскулирующей» орбиты. Суть этого понятия: Предположим, что в процессе движения материальной точки по возмущенной орбите в какой-то момент времени t возмущения перестали действовать. Очевидно, что после этого момента материальная точка будет двигаться по некоторой Кеплеровой невозмущенной орбите, причем в момент t эта орбита будет иметь общую точку с возмущенной орбитой. Таких точек на возмущенной орбите можно выбрать сколь угодно много в любой момент времени. Для каждого из этих моментов будет своя Кеплерова орбита, имеющая одну общую точку с возмущенной орбитой.
Таким образом, возмущенную орбиту можно представить невозмущенной Кеплеровой орбитой с переменными параметрами. Такая Кеплерова орбита называется «оскулирующей».
Возмущения, вызываемые несферичностью Земли.
Эти возмущения являются наиболее существенными. Они делятся на периодические и вековые. Они возникают в связи с тем, что при практических расчетах обычно геоид заменяют общим земным эллипсоидом. Разность между потенциалом земного эллипсоида и потенциалом Земного шара называют потенциалом дополнительной силы притяжения Земли.
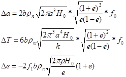
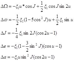
Изменение элементов орбиты вследствие нецентральности поля тяготения Земли для ИСЗ движущегося по круговой орбите (е=о) выражаются формулами:
где 
э-экваториальные (на экваторе)
k- гравитационная постоянная
u- приведенная широта
Приведенные формулы состоят из 2ч частей:
1. вековые возмущения, пропорциональные параметрам приведенной широты u.
2. периодические возмущения, пропорциональные периодическим функциям оси u.
Если принять, что u=2πN, где N-число оборотов ИСЗ, то вместо (1) получим:

Следовательно, периодические возмущения вследствие сжатия Земли при совершении спутником полного оборота- отсутствуют, хотя в остальных точках орбиты они имеют место и сказываются на изменении наклона плоскости орбиты J, эксцентриситета e и большой полуоси а.
Вековые возмущения напротив накапливаются со временем и сказываются на изменении прямого восхождения восходящего узла Ώ и углового расстояния перигея (ω), что вызывает прецессию орбиты в пространстве, т.е. поворот плоскости орбиты в пространстве.
Прецессионные возмущения орбиты легко учитываются с помощью приведенных формул.
Плоскость орбиты полярного ИСЗ не имеет прецессионного движения.
Спутники, орбиты которых близки к экваториальным, прецессируют быстрее других (до 9° в сутки).
Возмущения, вызываемые сопротивлением атмосферы.
Основные участки орбит ИСЗ проходят на высотах более 300км, где атмосфера крайне разряжена и поэтому оказывает малое сопротивление движению спутника, но это сопротивление является постоянно действующей силой и с течением времени может существенно изменить элементы орбиты ИСЗ.
Изменения орбиты ИСЗ вследствие этого фактора, выражаются приближенными формулами:
(2)
Где Но-вертикальный масштаб атмосферы (8км- однородная атмосфера)
ρП- плотность воздуха в перигее.
f1 f 0- остаточные члены разложения Бесселевой функции, имеющей вид:

Как показывают формулы (2), элементы орбиты ИСЗ под действием силы сопротивления атмосферы за один полный оборот уменьшаются. Уменьшение е приводит к орбите менее вытянутой, т.е. приближает ее к круговой, при этом период обращения монотонно убывает, а средняя скорость полета возрастает. Максимальная скорость понижения высоты орбиты приходиться на район апогея. Минимальная, на район перигея орбиты.
Возмущающее влияние Луны, Солнца, планет и светового давления.
Для спутника с высотой полета Н< 100 тыс.км возмущающее влияние всех небесных тел за исключением Солнца и Луны, принебрегаемо малы. Возмущающее ускорение, вызываемое притяжением Луны, примерно в 2,2 раза превосходит возмущающее ускорение от Солнца. С высоты более 20000 км возмущения от Луны и Солнца превосходят возмещения от аномалий силы тяжести, возникающие вследствие отклонения поверхности геоида от земного эллипсоида.
| Н (км) | Максимальное возмущающее ускорение м/с2*10-6 | отношение максимального возмущающего ускорения к ускорению силы земного притяжения | ||||
| от Солнца | от Луны | от аномалии силы земного притяжения | ||||
| Солнце | Луна | |||||
| 0,5 | 1,1 | 5,1*10-8 | 1,1*10-7 | 6*10-5 | ||
| 0,66 | 1,4 | 1,2*10-7 | 2,5*10-7 | 3,5*10-5 | ||
| 9,8 | 3,5*10-5 | 7,7*10-5 | 7,8*10-7 |
Начиная, с высоты Н=50000км возмущения от Луны и Солнца, превосходят все остальные гравитационные возмущения. Кроме того, при падении солнечного света на поверхность ИСЗ, а при отражении или излучении возникает световое давление, величина которого зависит от характера отражения (зеркальное или диффузное).
Равнодействующая всех сил светового давления зависит от угла падения лучей и от состояния поверхности ИСЗ. Практический интерес представляет анализ действия светового давления на движение легких надувных спутников типа «Эхо». У этих спутников отношение площади поверхности к массе примерно в 1000раз больше, чем у обычных спутников, поэтому для них возмущения от светового давления могут быть соизмеримы с возмущениями от сопротивления атмосферы.